cs224u Autoencoders自编码
- Autoencoders自编码器是一种机器学习模型,旨在学习预测自身输入的参数。
- 海报:业界AI课程分享,段智华邀你一起学习。本节分享课程:彭靖田,Google开发专家、华为深度学习团队核心成员,畅销书《深入理解TensorFlow》作者。 课程内容:1、快速掌握人工智能的理论基础与代码案例 2、4个典型人工智能模型实战,手把手教你模型训练和参数调优 3、全方位解密深度学习训练原理,实践可视化深度学习 4、使用人工智能解决实际问题的思路与技巧

PyToch实现AutoEncoder简介
torch_autoencoder模块使用PyToch实现一个简单的单层自动编码器:

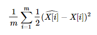
假设隐藏层表示的h矩阵为100维,f是非线性激活函数(TorchAutoencoder的默认激活函数是tanh)。假设有两个权重矩阵Wxh和Whx。自动编码器的目标函数实现对输入与预测输出之间距离进行评估。例如,可以使用均方误差公式计算:

其中X是数据的输入矩阵(维度为m×n),X[i]对应于第i个数据,调用TorchAutoencod
来源:oschina
链接:https://my.oschina.net/u/4259099/blog/3224834