C程序设计实验报告
姓名:王舒凯 实验地点:家 实验时间:2020.03.28
实验项目
1.If语句的应用
2.switch-case语句的应用
3.switch-case嵌套if语句的应用
4.switch-case结构嵌套的运用
5.分析程序
6.简单计算器
一、实验目的与要求
1.掌握C语言逻辑值的表示方法(0代表“假”,1代表“真”)
2.学会正确地使用关系表达式和逻辑表达式
3.掌握各种形式的if语句语法和使用方法。if语句中if和else的匹配关系,以及if语句的嵌套。
4.熟练掌握switch语句的语法和使用方法,注意在switch语句中break语句的用法及switch语句的嵌套
二、实验内容
1.If语句的应用
(1)问题简单描述:读入三个分别表示箱子长宽高的整数值,判断并输出该箱子是长方体还是正方体。
(2)实验代码:
#include<stdio.h>
int main()
{
int l,w,h;
printf("请输入箱子的长、宽、高:\n");
scanf("%d%d%d",&l,&w,&h);
if(l==w&&w==h)
printf("该箱子是正方形.\n");
else
printf("该箱子是长方形.\n");
}
(3)问题分析:输入if时,等于要用==而不是=,要细心。
2.switch-case语句的应用
(1)问题简单描述:统一程序实现如下功能:商店有打印纸(18元/本)、墨盒(132元/个)、光盘(4。5元/片)出售,商店进行优惠酬宾活动。具体做法如下:顾客购买商品的总额达到了100元,优惠5%;达到了200元,以上优惠6%;达到了300元以上,优惠7%;达到了400元以上,优惠8%;达到了500元以上,优惠10%。根据不同的购买量,打印应付货款。
(2)实验代码:
#include<stdio.h>
int main()
{
int a,b,c,d,e;
printf("请输入打印纸、墨盒、光盘的数量:");
scanf("%d,%d,%d",&a,&b,&c);
d=a*18+b*132+c*4.5;
if(0<=a&&a<=10&&0<=b&&b<=5&&0<=c&&c<=20)
switch(d)
{
case'd>500':printf("e=%d",d*0.9);break;
case'd>400':printf("e=%d",d*0.92);break;
case'd>300':printf("e=%d",d*0.93);break;
case'd>200':printf("e=%d",d*0.94);break;
case'd>100':printf("e=%d",d*0.95);break;
default:printf("%d",d);
}
else
printf("输入错误");
}
3)问题分析:运用switch时,要排大的再排小的,不然会出现只输出第一个的情况。
3.switch-case嵌套if语句的应用
(1)问题简单描述:输入某一年月,输入该月的天数
(2)实验代码:
#include<stdio.h>
int main()
{
int year,month,days;
printf("please enter year and month:\n");
scanf("%d%d",&year,&month);
switch(month)
{
case 2:if((year%4==0&&year%100!=0)||year%400==0)
days=29;
else
days=28;
break;
case 1:days=31;break;
case 3:days=31;break;
case 5:days=31;break;
case 7:days=31;break;
case 8:days=31;break;
case 10:days=31;break;
case 12:days=31;break;
case 4:days=30;break;
case 6:days=30;break;
case 9:days=30;break;
case 11:days=30;break;
}
printf("请输出=%d\n",days);
}
(3)问题分析:难点是判断闰年,能被400和4整除,不能被100整除。而且2月的时候还要分两种情况。
4.switch-case结构嵌套的运用
(1)问题简单描述:编写一个自动售货机的程序。该程序应具有如下功能:有二级菜单,一级菜单是商品类型的选择;二级菜单是具体商品的选择(商品价格和品种可以自拟)。顾客先选择商品类型,然后选择具体商品,输入购买数量。自动售货机根据选择的商品和输入的数量,计算并显示所选商品的总金额。
(2)实验代码
#include<stdio.h>
int main()
{
int x,n,y;
float sum=0.0;
printf("请选择: 1.日用品 2.文具 3.食品\n");
scanf("%d",&x);
switch(x)
{
case 1:printf("请选择: 1.牙刷(3.5元/支) 2.牙膏(6.2元/支)\n");
printf("请选择: 3.肥皂(2元/支) 4.毛巾(8.6元/支)\n");
scanf("%d",&y);
printf("数量?");
scanf("%d",&n);
switch(y)
{
case 1:sum=n*3.5;break;
case 2:sum=n*6.2;break;
case 3:sum=n*2;break;
case 4:sum=n*8.6;break;
}
break;
case 2:printf("请选择: 1.笔(3元/支) 2.笔记本(1.2元/支)\n");
printf("请选择: 3.文件夹(12元/支) 4.文具盒(8.6元/支)\n");
scanf("%d",&y);
printf("数量?");
scanf("%d",&n);
switch(y)
{
case 1:sum=n*3;break;
case 2:sum=n*1.2;break;
case 3:sum=n*12;break;
case 4:sum=n*8.6;break;
}
break;
case 3:printf("请选择: 1.白糖(3.6元/支) 2.盐(1元/支)\n");
printf("请选择: 3.饼(2元/支) 4.方便面(3.6元/支)\n");
scanf("%d",&y);
printf("数量?");
scanf("%d",&n);
switch(y)
{
case 1:sum=n*3.6;break;
case 2:sum=n*1;break;
case 3:sum=n*2;break;
case 4:sum=n*3.6;break;
}
break;
}
printf("总计:%.2f\n",sum);
}
3)问题分析:代码较长,很容易混淆,可能会少括号,要细心,关键是break要加上,不然容易搞混。做的时候括号总忘记加。
5.分析程序
第一个
(1)问题简单描述:.运行以下程序,分析输出结果。
(2)实验代码
#include<stdio.h>
int main()
{
double x=1000/3.0;
double y=x-333.0;
double z=3*y-1.0;
printf("x=%.1f\n",x);
printf("y=%.1f\n",y);
printf("z=%.1f\n",z);
if(z==0)
printf("z==0.\n");
else
printf("z不等于0.\n");
}
(3)实验结果:

第二个
(1)问题简单描述:运行下列程序,分析错误原因,请修改程序。
(2)实验代码:
更改前:
#include<stdio.h>
main()
{
int num=20;
if(5<num<10)
printf("%d in grang (5,10)!\n",num);
else
printf("%d out of grang (5,10)!\n",num);
}
更改后:
#include<stdio.h>
main()
{
int num=20;
if(5<num&&num<10)
printf("%d in grang (5,10)!\n",num);
else
printf("%d out of grang (5,10)!\n",num);
}
(3)实验结果:

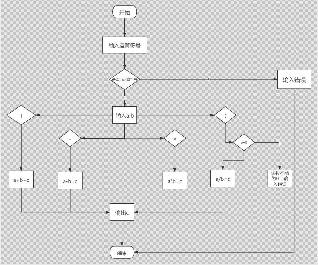
6.简单计算器
(1)问题简单描述:模拟一个简单的计算器,进行两个数的加、减、乘、除四则运算。
(2)实验代码:
#include<stdio.h>,
int main()
{
float a,b,c;
char k;
printf("请输入运算符号:");
k=getchar();
printf("请输入两个要运算的数字:");
scanf("%f,%f",&a,&b);
switch(k)
{
case'+':printf("c=%f",a+b);break;
case'-':printf("c=%f",a-b);break;
case'*':printf("c=%f",a*b);break;
case'/':
if(b==0)
printf("除数不能为0,输入错误");
else
printf("c=%f",a/b);
break;
default:printf("输入错误");
}
}
(3)流程图:

三、实验小结:
通过这次实验,我更加理解switch的运用了,之前一直有点搞不懂,现在理解多了,也能打出switch和if的镶嵌结构,果然实践才能加深理解。
(老师,我想问下,什么时候用空格,什么时候用逗号,有时代数的时候用空格可以,但用逗号就不行了 ,也有时候反过来。所以我想问下)
来源:https://www.cnblogs.com/wangshukai/p/12589065.html