归一化
把所有的数据都映射到同一个尺度(量纲)上。
最值归一化(normalization): 把所有数据映射到0-1之间。最值归一化的使用范围是特征的分布具有明显边界的(分数0~100分、灰度0~255),受outlier的影响比较大。
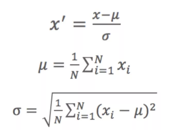
均值方差归一化(standardization): 把所有数据归一到均值为0方差为1的分布中。适用于数据中没有明显的边界,有可能存在极端数据值的情况。
特征工程
特征工程又包含了Data PreProcessing(数据预处理)、Feature Extraction(特征提取)、Feature Selection(特征选择)和Feature construction(特征构造)等子问题。
特征预处理

数值型特征无量纲化
无量纲化使不同规格的数据转换到同一规格。常见的无量纲化方法有标准化和归一化。
1.某些算法要求样本具有零均值和单位方差;
2.需要消除样本不同属性具有不同量级时的影响。
3.归一化有可能提高精度;
4.数量级的差异将导致量级较大的属性占据主导地位,从而与实际情况相悖(比如这时实际情况是值域范围小的特征更重要);
5.数量级的差异将导致迭代收敛速度减慢;
6.当使用梯度下降法寻求最优解时,很有可能走“之字型”路线(垂直等高线走),从而导致需要迭代很多次才能收敛;
7.依赖于样本距离的算法对于数据的数量级非常敏感。
数据标准化(Standardization)
标准化的前提是特征值服从正态分布,标准化后,其转换成标准正态分布。
MinMax归一化
区间缩放法利用了边界值信息,将属性缩放到[0,1]。
MaxAbs归一化
单独地缩放和转换每个特征,使得训练集中的每个特征的最大绝对值将为1.0,将属性缩放到[-1,1]。它不会移动/居中数据,因此不会破坏任何稀疏性。
正态分布化(Normalization)
正则化的过程是将每个样本缩放到单位范数(每个样本的范数为1),如果要使用如二次型(点积)或者其它核方法计算两个样本之间的相似性这个方法会很有用。
该方法是文本分类和聚类分析中经常使用的向量空间模型(Vector Space Model)的基础。
Normalization主要思想是对每个样本计算其p-范数,然后对该样本中每个元素除以该范数,这样处理的结果是使得每个处理后样本的p-范数(l1-norm,l2-norm)等于1。
归一化与标准化的应用场景
在分类、聚类算法中,需要使用距离来度量相似性的时候(如SVM、KNN)、或者使用PCA技术进行降维的时候,标准化(Z-score standardization)表现更好;
在不涉及距离度量、协方差计算、数据不符合正太分布的时候,可以使用第一种方法或其他归一化方法。
比如图像处理中,将RGB图像转换为灰度图像后将其值限定在[0 255]的范围;
基于树的方法不需要进行特征的归一化。
例如随机森林,bagging与boosting等方法。
如果是基于参数的模型或者基于距离的模型,因为需要对参数或者距离进行计算,都需要进行归一化。
数值型特征特征分箱(数据离散化)
离散化是数值型特征非常重要的一个处理,其实就是要将数值型数据转化成类别型数据。连续值的取值空间可能是无穷的,为了便于表示和在模型中处理,需要对连续值特征进行离散化处理。
分箱的重要性及其优势:
离散特征的增加和减少都很容易,易于模型的快速迭代;
稀疏向量内积乘法运算速度快,计算结果方便存储,容易扩展;
离散化后的特征对异常数据有很强的鲁棒性;
比如一个特征是年龄>30是1,否则0。
如果特征没有离散化,一个异常数据“年龄300岁”会给模型造成很大的干扰;
对于线性模型,表达能力受限;
单变量离散化为N个后,每个变量有单独的权重,相当于模型引入了非线性,能够提升模型表达能力,加大拟合;
离散化后可以进行特征交叉,由M+N个变量变为M*N个变量,进一步引入非线性,提升表达能力;
特征离散化后,模型会更稳定;
比如如果对用户年龄离散化,20-30作为一个区间,不会因为一个用户年龄长了一岁就变成一个完全不同的人。
当然处于区间相邻处的样本会刚好相反,所以怎么划分区间是门学问;
特征离散化以后,起到了简化了逻辑回归模型的作用,降低了模型过拟合的风险;
可以将缺失作为独立的一类带入模型;
将所有变量变换到相似的尺度上。
无监督分箱法:自定义分箱,等距分箱,等频分箱,聚类分箱,二值化(Binarization)
有监督分箱法:卡方分箱法,最小熵法分箱
来源:CSDN
作者:parc_de_seaux
链接:https://blog.csdn.net/parc_de_seaux/article/details/104876772