KNN算法优缺点
- 优点
(1) 精度高
(2) 对异常值不敏感:某个异常值对整个结果不造成影响;
(3) 无数据输入假定:无数据的独立性等假设; - 缺点
(1) 计算复杂度高:因为要计算的点需要与所有点计算距离,所以复杂度很高;
(2) 空间复杂度高:因为需要加载所有的样本;
适应的数据范围
- 数值型和标称型(是或者否)
算法原理
K值选择
- 如果选择较小的K值
– 近似误差会减小(针对训练集),估计误差会增大(针对测试集或验证集);
– 对噪声比较敏感;
– 容易过拟合(模型复杂),泛化能力差; - 如果选择较大的K值
– 近似误差增大,估计误差会减小;
– 整体模型变得简单;
距离选择
- 欧式距离:对异常值更敏感
- 曼哈顿距离
- 马氏距离:可以消除样本间的相关性,协方差矩阵可以降低样本差异性;

算法改进
- KD树
– 对K维空间的实例点进行存储以便快速检索;
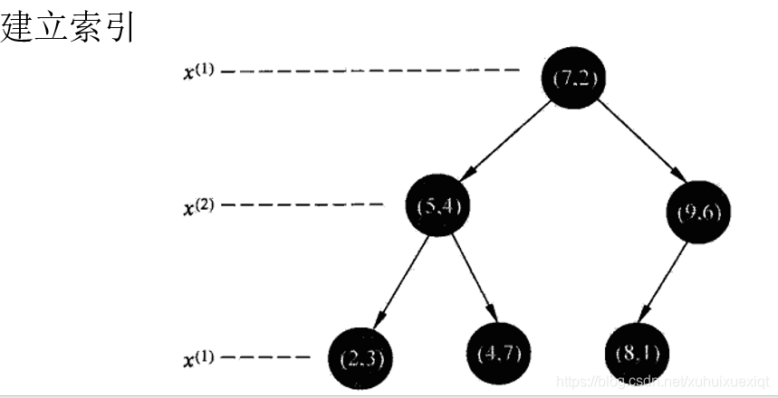
– 是二叉树,相当于不断用垂直与坐标轴的超平面将K维空间切分构成一系列K维超矩形区域; - 例子

以中值作为切割点,对x轴从小到大排序
(2,3), (4,7), (5,4), (7,2), (8,1), (9,6) 此时x轴的中值位置为(7,2);(2,3), (4,7), (5,4)作为左节点,(8,1), (9,4)作为右节点,分别对y轴切分; - 最终树结构如下:

- kd树查找(假设查找(2,4.5)节点)
通过KD树,找到最后一个叶子节点为(4,7),与目标查找点的距离为3.202;回溯到根节点(5,4),计算其与查找点之间的距离为3.041,小于3.202,所以“当前最近邻点”变成(5,4);
以目标点(2,4.5)为圆心,以目标点(2,4.5)到“当前最近邻点”(5,4)的距离(即3.041)为半径作圆,如上图所示。可见该圆和y = 4超平面相交,所以需要进入(5,4)左子空间进行查找,即回溯至(2,3)叶子节点;
(2,3)距离(2,4.5)比(5,4)要近,所以“当前最近邻点”更新为(2,3),最近距离更新为1.5;
再回溯到(7,2),以(2.1,3.1)为圆心,以0.1414为半径的圆更不会与x = 7超平面交割,因此不用进入(7,2)右子空间进行查找。 - 外部库使用(sklearn)
来源:CSDN
作者:xuhuixuexiqt
链接:https://blog.csdn.net/xuhuixuexiqt/article/details/104802438


