机器人运动学-速度问题

ε祈祈猫儿з 提交于 2020-03-12 09:46:43

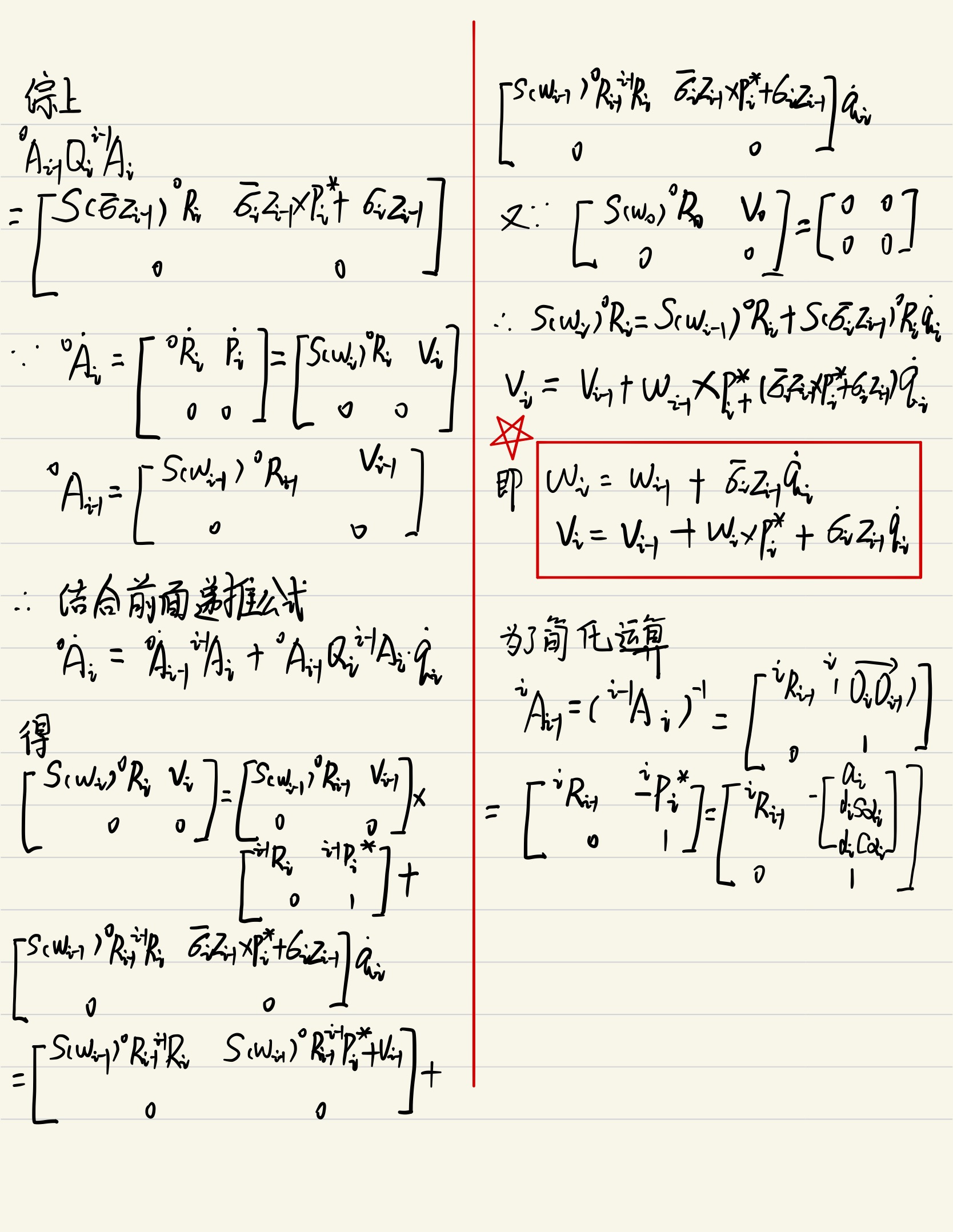
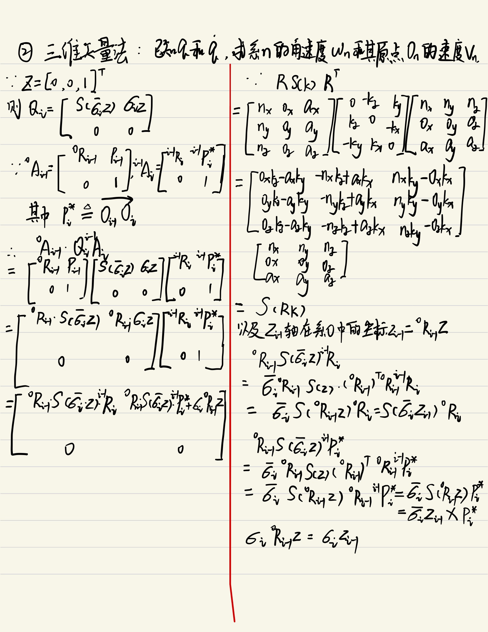
机器人在完成了运动学建模之后,能够建立关节空间与末端位姿空间的关系。为了进一步了解机器人的运动特性,需要求解机器人的速度、加速度以及更高阶问题。机器人速度问题,就是在已知机器人关节位置的前提下,研究关节速度与末端速度的关系。
在这里插入图片描述在这里插入图片描述在这里插入图片描述在这里插入图片描述在这里插入图片描述在这里插入图片描述在这里插入图片描述在这里插入图片描述在这里插入图片描述在这里插入图片描述

易学教程内所有资源均来自网络或用户发布的内容,如有违反法律规定的内容欢迎反馈
该文章没有解决你所遇到的问题?点击提问,说说你的问题,让更多的人一起探讨吧!