分类:链表
难度:easy
方法:双指针
- 相交链表
编写一个程序,找到两个单链表相交的起始节点。
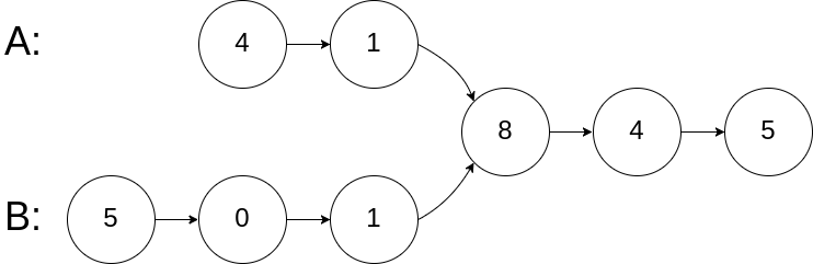
如下面的两个链表:
在节点 c1 开始相交。
示例 1:
输入:intersectVal = 8, listA = [4,1,8,4,5], listB = [5,0,1,8,4,5], skipA = 2, skipB = 3
输出:Reference of the node with value = 8
输入解释:相交节点的值为 8 (注意,如果两个列表相交则不能为 0)。从各自的表头开始算起,链表 A 为 [4,1,8,4,5],链表 B 为 [5,0,1,8,4,5]。在 A 中,相交节点前有 2 个节点;在 B 中,相交节点前有 3 个节点。
示例 2:
输入:intersectVal = 2, listA = [0,9,1,2,4], listB = [3,2,4], skipA = 3, skipB = 1
输出:Reference of the node with value = 2
输入解释:相交节点的值为 2 (注意,如果两个列表相交则不能为 0)。从各自的表头开始算起,链表 A 为 [0,9,1,2,4],链表 B 为 [3,2,4]。在 A 中,相交节点前有 3 个节点;在 B 中,相交节点前有 1 个节点。
示例 3:
输入:intersectVal = 0, listA = [2,6,4], listB = [1,5], skipA = 3, skipB = 2
输出:null
输入解释:从各自的表头开始算起,链表 A 为 [2,6,4],链表 B 为 [1,5]。由于这两个链表不相交,所以 intersectVal 必须为 0,而 skipA 和 skipB 可以是任意值。
解释:这两个链表不相交,因此返回 null。
注意:
如果两个链表没有交点,返回 null.
在返回结果后,两个链表仍须保持原有的结构。
可假定整个链表结构中没有循环。
程序尽量满足 O(n) 时间复杂度,且仅用 O(1) 内存。
题解

又是对于链表类题目的杀手锏-双指针,以这个为例,设置指针A指向链表A的head,指针B指向链表B的head,指针AB每次同时前进一步,则较短的链表A先到达末端,将指针A重新纸箱链表B的head,继续前进;直到指针B也到达链表B的末端,这时候将指针B重新指向A的head,这个时候,我们就会发现,指针AB此刻已经丈量出了链表AB的长度差,两者同时前进,若有相交,则一定会同时到达同一个节点,若没有,则会同时到达各自的末端(None)
代码
# Definition for singly-linked list.
# class ListNode(object):
# def __init__(self, x):
# self.val = x
# self.next = None
class Solution(object):
def getIntersectionNode(self, headA, headB):
"""
:type head1, head1: ListNode
:rtype: ListNode
"""
pos1,pos2=headA,headB
if not pos1 or not pos2:
return
while pos1!=pos2:
if not pos1 and not pos2:
return
if not pos1:
pos1=headB
else:
pos1 = pos1.next
if not pos2:
pos2 = headA
else:
pos2 = pos2.next
return pos1
来源:CSDN
作者:Yolo_C
链接:https://blog.csdn.net/Yolo_C/article/details/104794366