一、Web
问:从全球范围来看,网络是什么样子?
网络可以表示成一个有向图,
- Node:网页(Web Page)
- Edge :超链接(hyperlink)

给定节点 ,它能够到达哪些节点?又有哪些节点能够到达 ?


两种类型的有向图:
- 强连接的(strong connected):任何一个顶点都能够沿着一条有向路径到达另一个节点。
- 有向非循环图(directed acyclic graph):节点 u 能到达节点 v ,但是节点 v 却不能到达节点 u;
二、知识回顾
1. 连通图与强连通图:
在无向图G中,若任意两个不同的顶点 和 都连通(即有路径),则称G为连通图(Connected Graph).
在有向图G中,如果两个顶点 和 间有一条从 到 的有向路径,同时还有一条从 到 的有向路径,则称两个顶点强连通(strongly connected)。如果有向图G的每两个顶点都强连通,称G是一个强连通图
总结,如果图中任意两点都是连通的,那么图被称作连通图。如果此图是有向图,则称为强连通图(注意:需要双向都有路径)。图的连通性是图的基本性质。
2. 连通分量
连通分量:无向图 G的一个极大连通子图称为 G的一个连通分量(或连通分支)。连通图只有一个连通分量,即其自身;非连通的无向图有多个连通分量。
强连通分量(Strongly Connected Component ,SCC):有向图 G=(V,E) 中,若对于V中任意两个不同的顶点 x和 y,都存在从x到 y以及从 y到 x的路径,则称 G是强连通图。相应地有强连通分量的概念。强连通图只有一个强连通分量,即是其自身;非强连通的有向图有多个强连分量。
因为Web是有向图,所以这节我们考虑的都是强连通分量。
三、怎样求图的强连通分量?
强连通图只有一个强连通分量,即是其自身;非强连通的有向图有多个强连分量。所以,对于一个普通的有向图而言,怎样寻找它的强连通分量?
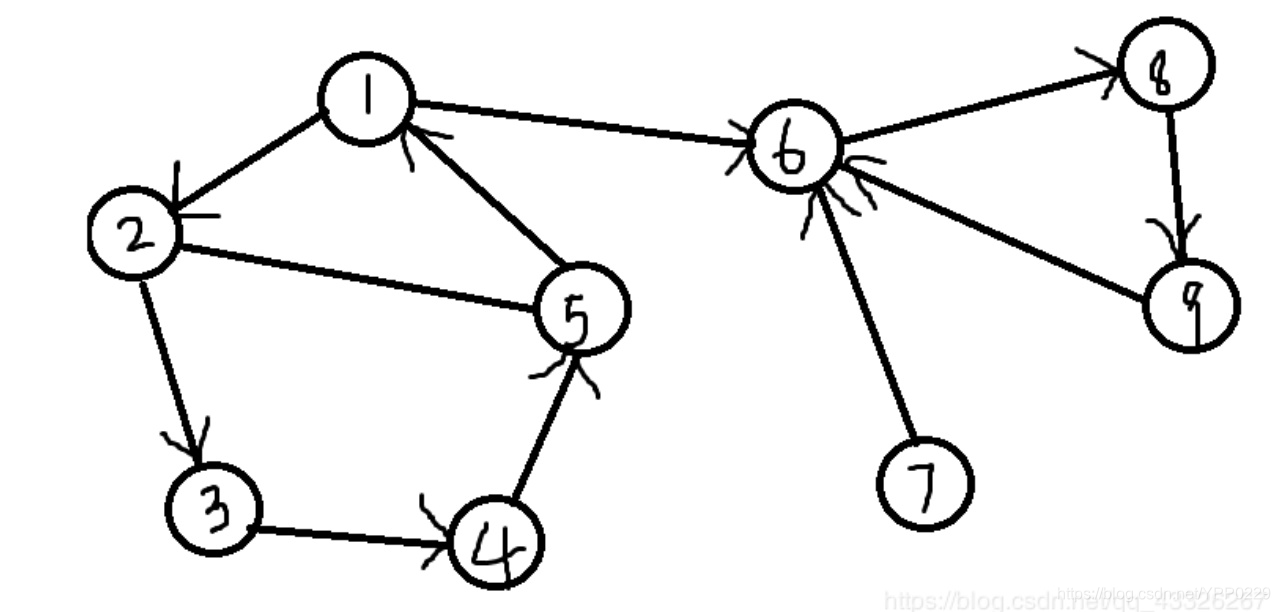
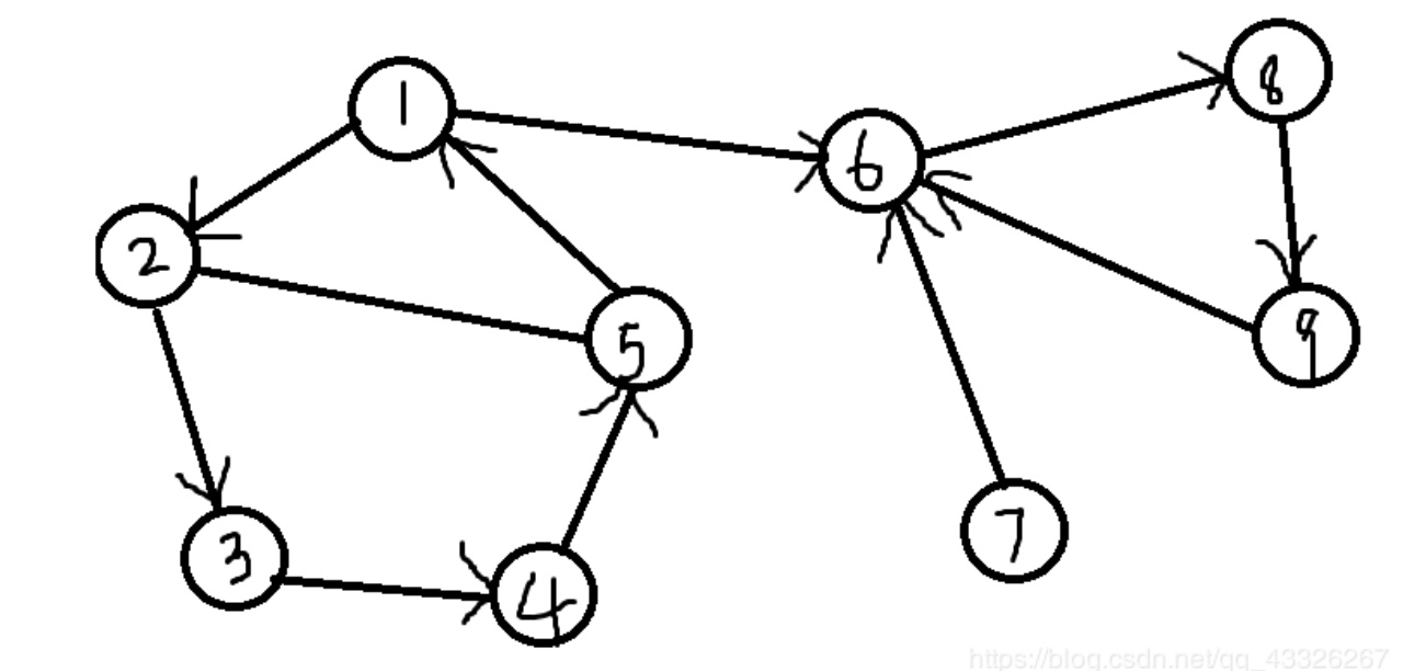
举个例子:
如下图,我们可以发现:5 -> 2 -> 3 -> 4 -> 5为一个连通子图,但是它还可以更大到1 -> 2 -> 3 -> 4 -> 5 -> 1,所以这才是一个强连通分量,因为这个子图的范围已经不能更大了。
强连通分量:
四、并非所有网页都同样“重要”
每一个网页都是一个节点,并非所有网页都同样“重要”。
有没有一种算法,能够给出网页重要性的排序呢?这样就可以优先推荐重要网页,而让那些垃圾网页石沉大海了。
引用其他节点就是获益;反过来,被他人引用就是在传播福报。网络中哪个节点是传播力最强,也就是最重要的呢?
我们将介绍以下用于计算图中节点重要性的链接分析方法:
- PageRank
- Personalized PageRank
- Random Walk with Restarts
来源:CSDN
作者:麦地与诗人
链接:https://blog.csdn.net/YPP0229/article/details/104746707