题目
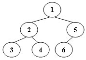
An inorder binary tree traversal can be implemented in a non-recursive way with a stack. For example, suppose that when a 6-node binary tree (with the keys numbered from 1 to 6) is traversed, the stack operations are: push(1); push(2); push(3); pop(); pop(); push(4); pop(); pop(); push(5); push(6); pop(); pop(). Then a unique binary tree (shown in Figure 1) can be generated from this sequence of operations. Your task is to give the postorder traversal sequence of this tree.

Input Specification:
Each input file contains one test case. For each case, the first line contains a positive integer which is the total number of nodes in a tree (and hence the nodes are numbered from 1 to ). Then lines follow, each describes a stack operation in the format: “Push X” where X is the index of the node being pushed onto the stack; or “Pop” meaning to pop one node from the stack.
Output Specification:
For each test case, print the postorder traversal sequence of the corresponding tree in one line. A solution is guaranteed to exist. All the numbers must be separated by exactly one space, and there must be no extra space at the end of the line.
Sample Input:
6
Push 1
Push 2
Push 3
Pop
Pop
Push 4
Pop
Pop
Push 5
Push 6
Pop
Pop
Sample Output:
3 4 2 6 5 1
题目大意
给出一系列栈的操作,根据出栈入栈过程以及中序遍历结果建立一个树,可以证明这棵树是唯一的,现在要输出这棵树的后序遍历结果。
思路
我们知道建立一棵树单单只靠中序遍历是不行的,所以必须结合栈操作,我们模拟建树过程,会发现这样一个规律;
- 前一步操作是Push时,那么这一步Push就是插入左子树;
- 前一步操作是Pop时,那么这一步Push就是插入右子树;
节点值直接用下标表示,这样在找父节点的时候直接下标访问即可,具体代码如下;
代码
#include <iostream>
#include <cstdio>
#include <stack>
#include <vector>
using namespace std;
struct node{
int left;
int right;
}node[31];
vector<int> ans;
void postorder(int root){
if(root == -1)
return;
postorder(node[root].left);
postorder(node[root].right);
ans.push_back(root);
}
int main(){
int n, p, root;
stack<int> sta;
char op[5];
scanf("%d", &n);
for(int i=1; i<=n; i++)
node[i].left = -1, node[i].right = -1;
int d = 0, o = 0;
for(int i=0; i<2*n; i++){
scanf("%s", op);
if(op[1] == 'u'){
scanf("%d", &p);
sta.push(p);
if(d == 0)
root = p;
else{
if(o == 0)
node[d].left = p;
else
node[d].right = p;
}
d = p, o = 0;
}
else{
d = sta.top();
o = 1;
sta.pop();
}
}
postorder(root);
for(int i=0; i<ans.size(); i++){
if(i)
printf(" ");
printf("%d", ans[i]);
}
return 0;
}
来源:CSDN
作者:李小白~
链接:https://blog.csdn.net/qq_40941722/article/details/104738292