1 MAE(平均绝对误差,Mean Absolute Error),
MAE 表示数据点与拟合点之间的距离绝对值之和的平均值。
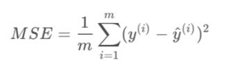
2 MSE(均方误差,Mean Squared Error)
为数据点到拟合直线之间的距离的平方之和的平均值。
3 R2(决定系数)
R2越趋近于1,说明模型越好
SST=np.sum((y_test-np.mean(y_test))**2)
SSE=np.sum((y_test-y_pred)**2)
R2=1-SSE/SST
4 RMSE(Root Mean Squared Error,均方根误差),MSE开根号
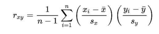
5 Rp:
皮尔逊相关系数(Person’s Correlation Coefficient,PCC)
6 SSE(误差平方和)
来源:CSDN
作者:深蓝17
链接:https://blog.csdn.net/weixin_42812146/article/details/104720622