【Python】学习笔记(三):机器学习基础入门

冷暖自知 提交于 2020-03-07 04:04:06

机器学习简介

1 机器学习

1.1 数据集

数据集 = 特征值 + 目标值

1.2 算法分类

  • 监督学习
    • 目标值:类别 - 分类问题
    • 目标值:连续数据 - 回归问题
  • 无监督学习:无目标值

图片

1.3 机器学习流程

图片

1.4 Scikit-learn

pip3 install Scikit-learn==0.19.1

图片

2 sklearn 特征工程

2.1 scikit-learn数据集API

图片

2.2 数据集

2.2.1 小数据集

图片

2.2.2 大数据集

图片

2.2.3 返回值

# 导入鸢尾花
from sklearn.datasets import load_iris

图片

2.2.4 数据集的划分

from sklearn.model_selection import train_test_split

图片

图片

x_train, x_test, y_train, y_test = train_test_split(iris.data, iris.target, test_size = 0.2, random_state = 22)
    print(f"测试集:{x_train}, 大小:{x_train.shape}")

2.3 特征工程 Feature Engineering

  • sklearn 特征工程
  • pandas 数据清洗,数据处理

2.3.1 特征抽取API

sklearn.feature_extraction

2.3.2 字典的特征提取

from sklearn.feature_extraction import DictVectorizer

图片

def dict_demo():
    """字典特征抽取"""
    data = [{'city': '北京', 'temperayure': 100},
            {'city': '上海', 'temperayure': 60 },
            {'city': '深圳', 'temperayure': 30 }]
    
    # 1.实例化一个转换器类 
    transfer = DictVectorizer(sparse= False)
    
    # 2.调用fit_transform()
    data_new = transfer.fit_transform(data) # data_new.toarray()
    
    print("数据:", data_new)
    print("特征名字:", transfer.get_feature_names())
    return None
  • 应用场景
    • 特征比较多
      • 1 数据集的特征,转化成字典类型
      • 2 DictVectorizer 转换

2.3.3 文本的特征提取 -1

  • 特征:句子、短语、单词
from sklearn.feature_extraction.text import CountVectorizer

图片

stop_words 停用词

图片

**sparse.toarray() ** — sparse包含变成数组的方法,字典/文本提取均可使用

  • 中文分词
def dict_cn_demo():
    """
    "我爱北京天安门" -> "我 爱 北京 天安门"
    """
    text = "我爱北京天安门"
    a = jieba.cut(text) # 返回迭代器
    b = list(a)         # ['我', '爱', '北京', '天安门']
    c = " ".join(b)     # "我 爱 北京 天安门"  str
    
    print(c)
    return None

def cut_CN(text):
    """
    "我爱北京天安门" -> "我 爱 北京 天安门"
    """ 
    return " ".join(list(jieba(text)))

2.3.4 文本的特征提取 -2

from sklearn.feature_extraction.text import TfidfVectorizer

图片图片

图片

2.4 特征预处理

sklearn.preprocessing

img

2.4.1 归一化

鲁棒性较差,最大值/最小值为Nan容易出现问题

from sklearn.preprocessing import MinMaxScaler

图片

img

def minmax_demo():
    """
    归一化
    """ 
    # 1.获取数据
    
    # data.to_csv("data.csv", index= False)
    data = pd.read_csv("data.csv")
    data = data.iloc[:, :3]
    print("data:", data)
    
    # 2.获取转换器类
    transfer = MinMaxScaler(feature_range= (0, 1))
    
    # 3.fit_transform
    data_new = transfer.fit_transform(data)
    print("data_new", data_new)

    return None

2.4.2 标准化

# 适合大样本
from sklearn.preprocessing import StandardScaler

img

img

def stand_demo():
    """
    标准化
    """
    
    # 1.获取数据
    data = pd.read_csv("data.csv")
    data = data.iloc[:, :3]
    print("data:", data)
    
    # 2.获取转换器类
    transfer = StandardScaler()
    
    # 3.fit_transform
    data_new = transfer.fit_transform(data)
    print("data_new", data_new)

    return None

2.5 特征降维

2.5.1 特征降维

from sklearn.feature_selection import VarianceThreshold

img

【Filter过滤式】

img

img

【Embedded嵌入式】

def variance_demo():
    """
    过滤低方差特征
    """
    # 1.获取数据
    data = pd.read_csv("data.csv")
    print("data:", data.head())
    # 2.实例化转换器
    transter = VarianceThreshold()
    # 3.调用fit_transform
    data_new = transter.fit_transform(data)
    print("data_new:", data_new, data_new.shape)
    
    return None

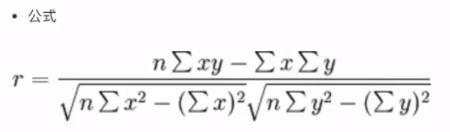
2.5.2 相关系数

  • 皮尔逊相关系数:反映变量之间相关关系密切程度(散点图可以观察)

img

img

  • API

[外链图片转存失败,源站可能有防盗链机制,建议将图片保存下来直接上传(img-imaB5JQX-1583501771196)(C:\Users\ASUS\AppData\Roaming\Typora\typora-user-images\image-20200304174051073.png)]

from scipy.stats import pearsonr

# 计算两个变量的相关性 返回 r = (相关系数, p 显著水平 越小越好)
r = pearsonr(data["pe_ratio"], data["pb_ratio"]) 

2.6 主成分分析(PCA)

img

  • API

img

from sklearn.decomposition import PCA

def pca_demo():
    data = [[2, 8, 4, 5],
            [6, 3, 0, 8],
            [5, 4, 9, 1]]
    
    # 1.实例化转换器类
    transfer = PCA(n_components= 2) # 4个特征转换成2个特征
    # 2.fit_transform
    data_new = transfer.fit_transform(data)
    print("data_new\n", data_new)
    
    return None

2.7 总结一

img

img

3 分类算法

3.1 sklearn转换器和估计器

3.1.1 转换器

img

3.1.2 估计器(sklearn机器学习算法实现)

img
[外链图片转存失败,源站可能有防盗链机制,建议将图片保存下来直接上传(img-oYztJ3rr-1583502198782)(C:\Users\ASUS\AppData\Roaming\Typora\typora-user-images\image-20200304220403929.png)]
img

3.2 K-紧邻算法(KNN)

K Nearest Neighbor

K 值取得过小,容易受到异常点的影响

K 值取得过大,样本不均匀的影响

img
img

【训练流程】

  • 1.获取数据
  • 2.数据集划分(train & test)
  • 3.特征工程(标准化,降维?)
  • 4.KNN预估器流程
  • 5.模型评估

【示例】

from sklearn.datasets import load_iris
from sklearn.model_selection import train_test_split
from sklearn.preprocessing import StandardScaler
from sklearn.neighbors import KNeighborsClassifier

def knn_iris():
    """
    KNN 算法对鸢尾花分类
    """
    # - 1.获取数据
    iris = load_iris()
    
    # - 2.数据集划分(train & test)
    x_train, x_test, y_train, y_test = train_test_split(iris.data, iris.target, test_size = 0.1, random_state = 6)
    
    # - 3.特征工程:标准化 - 训练和测试用一样的fit
    transfer = StandardScaler()
    x_train  = transfer.fit_transform(x_train)
    x_test   = transfer.transform(x_test) # 和训练(x_train)用相同的计算(fit)
    
    # - 4.KNN预估器流程 K值
    estimator = KNeighborsClassifier(n_neighbors = 3)
    estimator.fit(x_train, y_train)
    
    # - 5.模型评估
    # 方法1:直接比对真实值和预测值
    y_predict = estimator.predict(x_test)
    print("y_predict:\n", y_predict)
    print("直接比对真实值和预测值:\n", y_predict == y_test)
    
    # 方法2:计算准确率
    score = estimator.score(x_test, y_test)
    print("准确率:\n", score) 
    return None


if __name__ == "__main__":
    # KNN算法对鸢尾花分类
    knn_iris()

img

3.3 模型选择与调优

3.3.1 交叉验证(cross validation)

img

img

3.3.2 超参数搜索-网格搜索(Grid Search)

寻找合适的K值

img

img

from sklearn.datasets import load_iris
from sklearn.model_selection import train_test_split
from sklearn.preprocessing import StandardScaler
from sklearn.neighbors import KNeighborsClassifier

from sklearn.model_selection import GridSearchCV

def knn_iris_gscv():
    """
    KNN 算法对鸢尾花分类,添加网格搜索和交叉验证
    """
    # - 1.获取数据
    iris = load_iris()
    
    # - 2.数据集划分(train & test)
    x_train, x_test, y_train, y_test = train_test_split(iris.data, iris.target, test_size = 0.1, random_state = 8)
    
    # - 3.特征工程:标准化 - 训练和测试用一样的fit
    transfer = StandardScaler()
    x_train  = transfer.fit_transform(x_train)
    x_test   = transfer.transform(x_test) # 和训练(x_train)用相同的计算(fit)
    
    # - 4.KNN预估器流程 K值
    estimator = KNeighborsClassifier()
    
    # ------加入网格搜索与交叉验证
    # ------参数准备K值搜索:param_dict,交叉次数:cv
    param_dict = {"n_neighbors":[1, 3, 5, 7, 9, 11]}
    estimator = GridSearchCV(estimator, param_grid = param_dict, cv = 8)
    # ------新增内容
    
    estimator.fit(x_train, y_train) # 训练
    
    # - 5.模型评估
    # 方法1:直接比对真实值和预测值
    y_predict = estimator.predict(x_test)
    print("y_predict:\n", y_predict)
    print("直接比对真实值和预测值:\n", y_predict == y_test)
    
    # 方法2:计算准确率
    score = estimator.score(x_test, y_test)
    print("准确率:\n", score)
    
    print("最佳参数:\n", estimator.best_params_)
    print("最佳结果:\n", estimator.best_score_)
    print("最佳估计器:\n", estimator.best_estimator_)
    print("交叉验证结果:\n", estimator.cv_results_)
    
    return None

if __name__ == "__main__":
    # KNN算法对鸢尾花分类
    knn_iris_gscv()

3.4 朴素贝叶斯算法

朴素(相互独立)+贝叶斯(贝叶斯公式)

应用:文本分类,情感分析

3.4.1 贝叶斯公式

img

img

img

3.4.2 拉普拉斯平滑系数

from sklearn.naive_bayes import MultinomialNB

[外链图片转存失败,源站可能有防盗链机制,建议将图片保存下来直接上传(img-T5hPOnwv-1583501771257)(C:\Users\ASUS\AppData\Roaming\Typora\typora-user-images\image-20200305120042622.png)]

img

  • API

img

3.4.3 代码演示

from sklearn.datasets import fetch_20newsgroups
from sklearn.model_selection import train_test_split
from sklearn.feature_extraction.text import TfidfVectorizer
from sklearn.naive_bayes import MultinomialNB

def nb_news():
    """
    朴素贝叶斯算法,新闻分类
    """
    # 1.获取数据
    news = fetch_20newsgroups(subset= "all")
    
    # 2.划分数据集
    x_train, x_test, y_train, y_test = train_test_split(news.data, news.target)
    
    # 3.特征工程:文本抽取 tfidf
    transfer = TfidfVectorizer()
    x_train = transfer.fit_transform(x_train)
    x_test  = transfer.transform(x_test)
    
    # 4.朴素贝叶斯算法预估器流程
    estimator = MultinomialNB()
    estimator.fit(x_train, y_train)  #训练
    
    # 5.模型评估
    # 方法1:直接比对真实值和预测值
    y_predict = estimator.predict(x_test)
    print("y_predict:\n", y_predict)
    print("直接比对真实值和预测值:\n", y_predict == y_test)
    
    # 方法2:计算准确率
    score = estimator.score(x_test, y_test)
    print("准确率:\n", score)
    
    return None


if __name__ == "__main__":
    nb_news()

img

3.5 决策树

如何高效的进行决策

3.5.1 原理

img

img

img

  • 决策树API
from sklearn.tree import DecisionTreeClassifier, export_graphviz

img

3.5.2 示例

def decision_iris():
    """
    决策树算法对鸢尾花分类,添加网格搜索和交叉验证
    """
    # - 1.获取数据
    iris = load_iris()
    
    # - 2.数据集划分(train & test)
    x_train, x_test, y_train, y_test = train_test_split(iris.data, iris.target)
    
    # - 3.决策树预估器
    estimator = DecisionTreeClassifier(criterion= "entropy")
    estimator.fit(x_train, y_train)
    
    # - 4.模型评估
    # 方法1:直接比对真实值和预测值
    y_predict = estimator.predict(x_test)
    print("y_predict:\n", y_predict)
    print("直接比对真实值和预测值:\n", y_predict == y_test)
    
    # 方法2:计算准确率
    score = estimator.score(x_test, y_test)
    print("准确率:\n", score)
    
    # 数据可视化
    export_graphviz(estimator, out_file= "iris_tree.dot", feature_names= iris.feature_names)
    # 生成文件复制到:http://www.webgraphviz.com/
    
    return None

img

3.6 随机森林(集成学习方法)

适合大数据,处理高维特征数据

img

【示例:网格搜索+随机森林】

from sklearn.model_selection import GridSearchCV # 网格搜索
from sklearn.ensemble import RandomForestClassifier #随机森林


# - 4.随机森林预估器
estimator = RandomForestClassifier()

# ------加入网格搜索与交叉验证
# ------参数准备搜索网格:param_dict,交叉次数:cv
param_dict = {"n_estimators":[120, 150, 300], "max_depth":[5, 8, 15]}
estimator = GridSearchCV(estimator, param_grid = param_dict, cv = 3)
# ------新增内容

estimator.fit(x_train, y_train)

# - 5.模型评估
# 方法1:直接比对真实值和预测值
y_predict = estimator.predict(x_test)
print("y_predict:\n", y_predict)
print("直接比对真实值和预测值:\n", y_predict == y_test)

# 方法2:计算准确率
score = estimator.score(x_test, y_test)
print("准确率:\n", score)

print("最佳参数:\n", estimator.best_params_)
print("最佳结果:\n", estimator.best_score_)
print("最佳估计器:\n", estimator.best_estimator_)
print("交叉验证结果:\n", estimator.cv_results_)

3.7 总结二

img
img
img

4 回归与聚类算法

4.1 线性回归

img

4.1.1 损失函数

img

4.1.2 优化方法-正规方程

img

4.1.3 优化方法-梯度下降

适合大数据

img

4.1.4 线性回归API

img

4.1.5 示例:波士顿房价预测

  • 1.获取数据集
  • 2.划分数据集
  • 3.特征工程:无量纲化(标准化)
  • 4.预估器流程:fit() -> 模型
  • 5.得出模型
  • 6.模型评估
from sklearn.datasets import load_boston
from sklearn.model_selection import train_test_split
from sklearn.preprocessing import StandardScaler
from sklearn.linear_model import LinearRegression, SGDRegressor # 正规方程/梯度下降
from sklearn.metrics import mean_squared_error # 均方误差

def liner1():
    """
    正规方程优化方法
    """
    # - 1.获取数据集
    boston = load_boston()
    # print("boston数据:", boston.data.shape)
    
    # - 2.划分数据集
    x_train, x_test, y_train, y_test = train_test_split(boston.data, boston.target)
    
    # - 3.特征工程:无量纲化(标准化)
    transfer = StandardScaler()
    x_train = transfer.fit_transform(x_train)
    x_test = transfer.transform(x_test)
    
    # - 4.预估器流程:fit()  -> 模型
    estimator = LinearRegression()
    estimator.fit(x_train, y_train)
    
    # - 5.得出模型
    print("正规方程w权重系数:\n", estimator.coef_)
    print("正规方程b偏置:\n", estimator.intercept_)
    
    # - 6.模型评估
    y_predict = estimator.predict(x_test)
    print("预测房价:\n", y_predict)
    error = mean_squared_error(y_test, y_predict)
    print("正规方程,均方误差为:", error)
    
    return None

def liner2():
    """
    梯度下降优化方法
    """
    # - 1.获取数据集
    boston = load_boston()
    
    # - 2.划分数据集
    x_train, x_test, y_train, y_test = train_test_split(boston.data, boston.target)
    
    # - 3.特征工程:无量纲化(标准化)
    transfer = StandardScaler()
    x_train = transfer.fit_transform(x_train)
    x_test = transfer.transform(x_test)
    
    # - 4.预估器流程:fit()  -> 模型
    estimator = SGDRegressor()
    estimator.fit(x_train, y_train)
    
    # - 5.得出模型
    print("梯度下降w权重系数:\n", estimator.coef_)
    print("梯度下降b偏置:\n", estimator.intercept_)
    
    # - 6.模型评估
    y_predict = estimator.predict(x_test)
    print("预测房价:\n", y_predict)
    error = mean_squared_error(y_test, y_predict)
    print("梯度下降,均方误差为:", error)
    
    return None


if __name__ == "__main__":
    # 正规方程
    liner1()
    
    # 梯度下降
    liner2()

4.1.6 回归性能分析

img

img

img

4.2 过拟合和欠拟合

4.2.1 定义

img

img

4.2.2 正则化解决过拟合

img

4.3 岭回归-带L2正则化的回归

解决过拟合问题

4.3.1 API

img

img

from sklearn.datasets import load_boston
from sklearn.model_selection import train_test_split
from sklearn.preprocessing import StandardScaler
from sklearn.linear_model import LinearRegression, SGDRegressor, Ridge # 正规方程/梯度下降
from sklearn.metrics import mean_squared_error # 均方误差

def liner3():
    """
    岭回归优化方法
    """
    # - 1.获取数据集
    boston = load_boston()
    
    # - 2.划分数据集
    x_train, x_test, y_train, y_test = train_test_split(boston.data, boston.target)
    
    # - 3.特征工程:无量纲化(标准化)
    transfer = StandardScaler()
    x_train = transfer.fit_transform(x_train)
    x_test = transfer.transform(x_test)
    
    # - 4.预估器流程:fit()  -> 模型
    estimator = Ridge(alpha= 0.5, max_iter= 10000)
    estimator.fit(x_train, y_train)
    
    # - 5.得出模型
    print("岭回归w权重系数:\n", estimator.coef_)
    print("岭回归b偏置:\n", estimator.intercept_)
    
    # - 6.模型评估
    y_predict = estimator.predict(x_test)
    print("预测房价:\n", y_predict)
    error = mean_squared_error(y_test, y_predict)
    print("岭回归,均方误差为:", error)
    
    return None

4.4 逻辑回归与二分类

4.4.1 定义

img

img

4.4.2 对数似然损失

img

img

4.4.3 逻辑回归API

img

from sklearn.linear_model import LogisticRegression

transfer = LogisticRegression() # 预估器
transfer.fit(x_train, x_test) #训练

transfer.coef_  	#回归系数
transfer.intercept_ #偏置

4.4.4 二分类的评估方法

1 召回率&精确率

img

img

img

img

[外链图片转存失败,源站可能有防盗链机制,建议将图片保存下来直接上传(img-JujAUqgk-1583501771300)(C:\Users\ASUS\AppData\Roaming\Typora\typora-user-images\image-20200306203133157.png)]

from sklearn.metrics import classification_report

report = classification_report(y_test, y_predict, labels = [2, 4], target_names = ["良性", "恶性"])

2 ROC曲线与AUC指标

img

img

img

img

4.5 模型保存和加载

4.5.1 sklearn模型的保存和加载

rf为预估器estimator

img

from sklearn.externals import joblib

# ------保存模型------
joblib.dump(estimator, "my_ridge.pkl")

# ------加载模型------
estimator = joblib.load("my_ridge.pkl")

4.6 无监督学习 k-means

无目标值

  • K-means(聚类)
  • PCA(降维)

4.6.1 API

img

4.6.2 示例

from sklearn.cluster import KMeans
from sklearn.metrics import silhouette_score

# 预估器KMeans
estimator = KMeans(n_clusters= 3)

# 训练
estimator.fit(data_new)

# 评估,性能评估指标
score = silhouette_score(data_new, y_predict)

4.6.3 Kmeans性能评估指标

img

img

img

img

4.7 总结三

img

img

易学教程内所有资源均来自网络或用户发布的内容,如有违反法律规定的内容欢迎反馈
该文章没有解决你所遇到的问题?点击提问,说说你的问题,让更多的人一起探讨吧!