动物王国中有三类动物A,B,C,这三类动物的食物链构成了有趣的环形。A吃B, B吃C,C吃A。
现有N个动物,以1-N编号。每个动物都是A,B,C中的一种,但是我们并不知道它到底是哪一种。
有人用两种说法对这N个动物所构成的食物链关系进行描述:
第一种说法是"1 X Y",表示X和Y是同类。
第二种说法是"2 X Y",表示X吃Y。
此人对N个动物,用上述两种说法,一句接一句地说出K句话,这K句话有的是真的,有的是假的。当一句话满足下列三条之一时,这句话就是假话,否则就是真话。
1) 当前的话与前面的某些真的话冲突,就是假话;
2) 当前的话中X或Y比N大,就是假话;
3) 当前的话表示X吃X,就是假话。
你的任务是根据给定的N(1 <= N <= 50,000)和K句话(0 <= K <= 100,000),输出假话的总数。
Input
第一行是两个整数N和K,以一个空格分隔。
以下K行每行是三个正整数 D,X,Y,两数之间用一个空格隔开,其中D表示说法的种类。
若D=1,则表示X和Y是同类。
若D=2,则表示X吃Y。
Output
只有一个整数,表示假话的数目。
1.题目就不再阐述,那么怎么知道是用带权并查集来写呢?如果是刚接触并查集碰到这道题,那么一定很懵,这并不是一个直接的“集合关系”,而是相互联系的,我们已知某几个数之间的联系后,需要根据吃与被吃的关系来推集合关系。如果接触了图论之后,我们也可能会反应,这是类似求图的传递闭包问题。但重点是“这三类动物的食物链构成了有趣的环形”这句话,证明只有三个集合,而不是能排成一个长链
2.可以先去简单了解一下带权并查集
3.注意这种题是如果两个集合不相等,那么默认为真话,否则如果两个询问对象再一个集合内就需要考虑。当然题目说到的特殊情况特判一下就好了
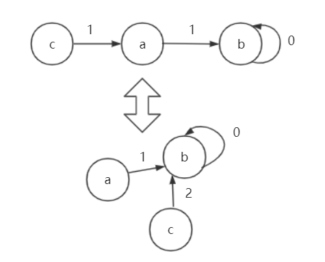
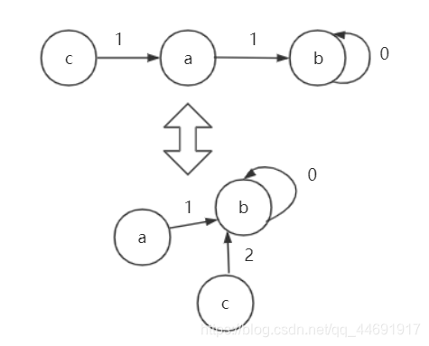
3.回归正题,因为只有三个物种,这里我们设置三种关系,分别是a吃b,a被b吃,a和b同一物种。然后分别用0代表同类,1代表前面吃后面,2代表前面被后面吃。我们先研究只有两个物种时假设给出"2 a b"的条件,那么代表a吃b,考虑到需要把a,b连接到一个集合,但是需要注意,我们设置谁为祖先呢?这里需要注意,为了方便起见我们设置如下的向量"a->b",即b为祖先,那么更新a的权值加一。接着下面如果询问到a和b的关系,就是va-vb=1。但是如果询问到b和a的关系呢,显然是b被a吃,那么我们查询时肯定要固定的前面减后面啊,这样就得到了-1,因此为了方便起见,我们每次二者相减后加3再对3取模,这样就保证了得到的数是0,1,2
4.接着我们考虑三个物种的相互关系,如下图。我们知道如果出现了a吃b,c吃a这样的情况,经过路径压缩,得到了下面的关系此时如果询问c和b,那么得到的显然是c被b吃,结果为2。如果询问b和c,由于食物链是环状的原因,我们将得到-2,那么根据上面说的加3再模3,刚好是得到了1,也就是b吃c
5.最后考虑一下四个物种的情况,在上图的基础上加入"2 d c"即d吃c,那么因为是环状的原因,b也吃c,d和b就是同一物种,但是状态压缩时会使d的权值为3,那么显然我们每次状态压缩时也要对3取模,在两个并查集合并的时候也要对3取模。再强调一下最容易出错的点,有a吃b的关系那么就将b设置为祖先,a的权值加1,那么下面询问时直接拿前面的权值减去后面的权值并加3模3,否则可能无限WA
#include <iostream>
using namespace std;
const int N=5e4+10;
int father[N],value[N];
int Find(int x){
if(x!=father[x]){
int t=father[x];
father[x]=Find(father[x]);
value[x]=(value[t]+value[x])%3; //要模3
}
return father[x];
}
void Union(int x,int y,int s){
int fx=father[x];
int fy=father[y];
if(fx!=fy){
father[fx]=fy;
value[fx]=(-value[x]+value[y]+s)%3; //注意!带权并查集里面有提到
}
}
int main()
{
int a,b,op;
int n,k;
scanf("%d%d",&n,&k);
for(int i=1;i<=n;i++)
father[i]=i,value[i]=0;
int ans=0;
while(k--){
scanf("%d%d%d",&op,&a,&b);
if(a>n || b>n){ ans++; continue; }
if(op==1){
if(a==b) continue;
if(Find(b)==Find(a)){
if((value[a]-value[b]+3)%3!=0) ans++; //a和b不是同类则为假话
}else Union(a,b,op-1); //刚好op和我们需要更新的权值s有减一的关系
}else{
if(a==b){ ans++; continue; }
if(Find(b)==Find(a)){
if((value[a]-value[b]+3)%3!=1) //a吃b不满足则为假话
ans++;
}else Union(a,b,op-1); //刚好op和我们需要更新的权值s有减一的关系
}
}
printf("%d\n",ans);
return 0;
}
来源:CSDN
作者:Happig丶
链接:https://blog.csdn.net/qq_44691917/article/details/104684859