IBM Model1
IBM Model 是统计机器翻译中的经典翻译模型
IBM Model1仅考虑了词和词之间的互译概率
记录学习lecture-ibm-model1的过程
学习
- 外来句子, foreign sentence ,长度为
- 英文句子, english sentence ,长度为
- a, alignment 外来句子中的词和英文句子中的词的对应关系,假设英文句子中的对应外来句子中的(相同意思),则对应关系为
- 目标函数,,以给定的外来和英语为条件,找出其alignment
- 参数估计,EM算法
假设是需要将外来句子翻译成英文句子
目标函数
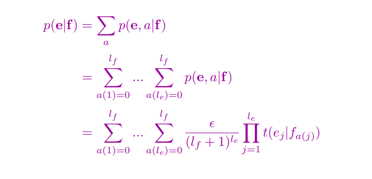
pdf中先给出了一个公式
一开始看,懵了,怎么突然来这么一个公式,这公式什么意思
很多地方都是直接这样一个公式都不知道为什么,也不知道什么是什么,增加了小白我学习的难度,唉,泪啊
目标是要翻译成英文句子,那么每个英文单词有其对应的外文单词
, a_1 表示第1个英文单词对应的外文句子中对应单词的位置,每个值的范围为
从0开始的原因是因为,万一有个英文词找不到对应的外文词,比如语气词之类的,可以在外文句前加个NULL使得外文句长为
英文单词有个,所以有个对应关系 相当于给定翻译成的概率,可以看这篇
对于pdf中的图

la翻译成the的可能性为0.7
masion翻译成house的可能性为0.8
那么第一种情况是这两者同时翻译
根据贝叶斯定理
那么需要计算
根据pdf
因为英文单词有个,所以a的对应有个
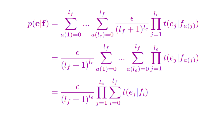
所以第二个等式中每一个表示每个外文单词翻译到第i个英文单词的概率和,然后再乘起来
然后等式可以继续化下去
然后在看第二个等式到第三个等式
拿上面翻译的例子推了下,嗯,是正确的
可以按照写的式子
然后有了目标式子
则第一种对应关系
计算正确
到这里,目标函数的推导应该差不多了
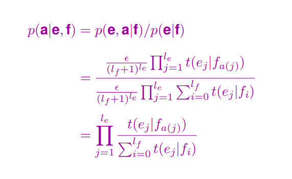
参数估计
接着是这么一个公式,这公式又是啥?


查了一些资料
是训练数据中,外语单词f与英文单词e正确匹配的概率
表示不同的外文词f翻译成词e的概率和
表示在句子e中的期望次数
表示在句子e中的期望次数
表示词f到词e的个数(好吧,不懂)
举个例子
初始情况下,一个外语单词对所有英语单词的翻译的可能性是相同的
假设中文为外语f,需要翻译成英语e。免得把一些符号搞晕

然后按照公式推了下,拍的图片可能有点糊,但不影响
忘记写c(e)了。在语料1,a1的情况下, c(a)就相当于分母
然后继续计算下去,虽然不知道这些公式是怎么来的,但概率矩阵也的确按照理想的变化在变化
代码
伪代码
python 代码
# 语料库
corpus = [[['一本','书'],['a','book']],[['一本', '杂志'],['a', 'magazine']]]
# 设置英文外文词汇表
english_vocab = []
foreign_vocab = []
for sp in corpus:
for fw in sp[0]:
foreign_vocab.append(fw)
for ew in sp[1]:
english_vocab.append(ew)
english_words = sorted(list(set(english_vocab)), key=lambda s:s.lower())
foreign_words = sorted(list(set(foreign_vocab)), key=lambda s:s.lower())
print('English words:\n', english_vocab)
print('Foreign words:\n', foreign_vocab)
# 给定e,f句子和t,计算p(e|f)
def probability_e_f(e, f, t, epsilon=1):
l_e = len(e)
l_f = len(f)
p_e_f = 1
for ew in e:
t_ej_f = 0
for fw in f:
t_ej_f += t[fw][ew]
p_e_f = t_ej_f * p_e_f
p_e_f = p_e_f * epsilon / ((l_f+1)**l_e)
return p_e_f
# 输入语料库计算perplexity
def perplexity(corpus, t, epsilon=1):
log2pp = 0
for sp in corpus:
prob = probability_e_f(sp[1], sp[0], t)
log2pp += math.log(prob, 2)
pp = 2.0 **(-log2pp)
return pp
t = {} # 用来保存不同外文单词翻译成不同英文单词的概率
init_val = 1.0/len(english_words) # 初始情况下,一个外文单词翻译成不同英文单词的概率是相同的
for fw in foreign_words:
for ew in english_words:
if fw not in t:
t[fw] = {}
t[fw][ew] = init_val
print('\nInit t ')
for fw in t:
print('Foreign word: ', fw)
sorted_list = sorted(t[fw].items(), key=lambda x:x[1], reverse=True)
for (ew, p) in sorted_list:
print('prob to %s \tis %f'%(ew, p))
print('')
num_epochs = 10
s_total = {}
perplexities = []
for epoch in range(num_epochs):
print("--------epoch % s--------" % (epoch + 1))
perplexities.append(perplexity(corpus, t))
count = {}
total = {}
for fw in foreign_words:
total[fw] = 0.0
for ew in english_words:
if fw not in count:
count[fw] = {}
count[fw][ew] = 0.0
for sp in corpus:
# s_total[a]相当于上面手工推演中的t(a|一本)+t(a|书)
# s_total也就相当于c(e)
for ew in sp[1]:
s_total[ew] = 0.0
for fw in sp[0]:
s_total[ew] += t[fw][ew]
# 此时计算出的count[一本][a]相当于c(a|一本),在不同语料中继续相加相同对应的概率
# total[一本]相当于一本翻译成不同英文词的概率和
# 还要考虑不同语料,主要用于t概率矩阵的归一化
for ew in sp[1]:
for fw in sp[0]:
count[fw][ew] += t[fw][ew] / s_total[ew]
total[fw] += t[fw][ew] / s_total[ew]
# 概率的归一化,使得一个外文单词翻译成不同英文单词的概率和为1
for fw in foreign_words:
for ew in english_words:
t[fw][ew] = count[fw][ew] / total[fw]
for fw in t:
print('foreign word: ', fw)
sorted_list = sorted(t[fw].items(), key=lambda x:x[1], reverse=True)
for (ew, p) in sorted_list:
print('prob to %s \tis %f'%(ew, p))
print('')
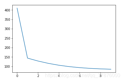
plt.plot(perplexities) # 需要matplotlib库

嗯~ ,貌似这样就完成了model1
按照代码我又推了一遍,很好的符合了上面手推的过程
至于那些个公式是怎么来的,不知道
听从pdf的指示(我是小白)
至于如何衡量模型,那么就是困惑度 perplexity
pdf中给出了公式 ,并且写在了代码中
参考资料
- lecture-ibm-model1
- mt2
- https://zhuanlan.zhihu.com/p/72160554
- http://blog.sina.com.cn/s/blog_6335d3b00100w4ch.html
- https://zhuanlan.zhihu.com/p/72640549
- 应该还有一些,忘记保存了
来源:CSDN
作者:FortyTwo4200
链接:https://blog.csdn.net/qq_37876050/article/details/104653326