一、定积分问题举例
1.1、曲面梯形面积

1.2、变速直线运动的路程
二、定积分定义
2.1、插入若干的点,将区间分成n个小区间

2.2、求和

2.3、做极限

另一种定义
与积分变量符号无关
2.4、可积的充分条件

三、定积分的近似计算(计算机)
矩形法
梯形法
抛物线法(辛普森法)
四、定积分性质
4.0、补充

4.1、性质1

4.2、性质2: 积分可加性

4.3、性质3

4.4、性质4
使用定积分定义证明
4.4.1、推论1

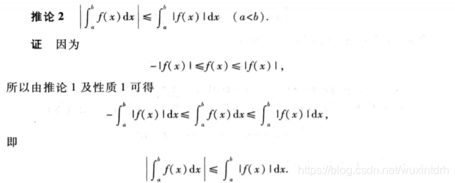
4.4.2、推论2

4.5、性质5、积分的估值公式

4.6、性质6(定积分中值定理)

4.6.1、证明
- 连续函数的介值定理及其推论
- 注意那个积分项是一个确定的值(假设确定之为Y),Y在[m, M]之间, 在以m,M值域的区间,运用介值定理,则f© = Y, 整理一下,就是积分中值公式

4.6.2、几何解释

来源:CSDN
作者:chbxw
链接:https://blog.csdn.net/wuxintdrh/article/details/104668384
