[toc]
前缀、中缀、后缀表达式转换详解
1:表达式
1.1 、 如有1 + (( 2 + 3)* 4 ) – 5表达式,各个表达式如下
前缀:- + 1 * + 2 3 4 5
中缀:1 +(( 2 + 3 )* 4 )-5
后缀:1 2 3 + 4 * + 5 –
2:转换方式
2.1、中缀表达式转后缀表达式的两种方法
2.1.1 、方法一:直接转换法
(1)首先确定表达式表达式A的运算顺序,然后加括号:((1 + (( 2 + 3)* 4 )) – 5 )
(2)从最里面的一层括号开始运算,转换成后缀表达式的方法为:(忽略括号)数字在前,符号在后。
1)( 2 + 3) => 23+
2) (( 2 + 3)* 4 ) => 23+4*
3) (1 + (( 2 + 3)* 4 ))=> 123+4*+ [按照运算次序,从左到右排列]
4)((1 + (( 2 + 3)* 4 )) – 5 )=> 123+4*+ 5-
后缀表达式为:1 2 3 + 4 * + 5 –
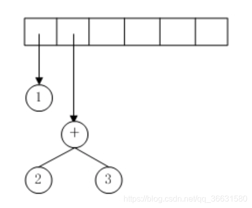
2.1.2 、方法二:利用表达式树
首先将中缀表达式转换为表达式树,然后后序遍历表达式树,所得结果就是后缀表达式。将中缀表达式转化为表 达式树的方法:表达式树的树叶是操作数,而其他节点为操作符,根结点为优先级最低且靠右的操作符(如上述表达 式优 先级最低是-和+,但-最靠右,所以根为-),圆括号不包括。如上述表达式的表达式树为:

2.2、后缀表达式 转 中缀表达式
假定有后缀表达式1 2 3 + 4 * +5 – ,请将它转化为前缀表达式。
2.2.1、方法一 :利用表达式树
从左到右扫面后缀表达式,一次一个符号读入表达式。如果符号是操作数,那么就建立一个单节点树并将它推入 栈中。如果符号是操作符,那么就从栈中弹出两个树T1和T2(T1先弹出)并形成一颗新的树,该树的根就是操作 符,它的左、右儿子分别是T2和T1。然后将指向这棵新树的指针压入栈中。

扫描123后
前三个符号是操作数,因此创建三颗单节点树并将指向它们的指针压入栈中。

扫描+后
+”被读入,因此指向最后两颗树的指针被弹出,形成一颗新树,并将指向新树的指针压入栈中。以下的流程图以相同原 理执行。
最后再中序遍历所得的表达式树即得到我们所需的中缀表达式:1+((2+3)*4)-5
2.3 、中缀表达式转为前缀表达式
假定有中缀表达式1 + (( 2 + 3)* 4 ) – 5,请将它转化为前缀表达式。
2.3.1、方法一:直接转换法
(1)首先确定表达式表达式A的运算顺序,然后加括号:((1 + (( 2 + 3)* 4 )) – 5 )
(2)从最里面的一层括号开始运算,转换成前缀表达式的方法为:(忽略括号)符号在前,数字在后。
1)( 2 + 3) => +23
2) (( 2 + 3)* 4 ) => *+234
3) (1 + (( 2 + 3)* 4 ))=> +1*+234
4)((1 + (( 2 + 3)* 4 )) – 5 )=> -+1*+2345
前缀表达式为:- + 1 * + 2 3 4 5
2.3.2、方法二:利用表达式树
首先将中缀表达式转换为表达式树,然后先序遍历表达式树,所得结果就是前缀表达式。将中缀表达式转化为表达式树的方法:表达式树的树叶是操作数,而其他节点为操作符,根结点为优先级最低且靠右的 操作符(如上述表达式优先级最低是-和+,但-最靠右,所以根为-),圆括号不包括。
经过前序遍历所得前缀表达式为:- + 1 * + 2 3 4 5
3:计算方式
3.1、前缀表达式计算方式
要从右至左扫描表达式,首先从右边第一个字符开始判断,若当前字符是数字则一直到数字串的末尾再记录下来,若 为运算符,则将右边离得最近的两个“数字串”作相应运算,然后以此作为一个新的“数字串”并记录下来;扫描到表达式 最左端时扫描结束,最后运算的值即为表达式的值。
例如:对前缀表达式“- + 1 * + 2 3 4 5”求值,扫描到5时,记录下这个数字串,扫描到4时,记录下这个数字串,当扫描到+时,当前数字串为"2 3 4 5",将+右移做相邻两数字串的运算符,记为2+3,结果为5,记录下5这个新数字串为“5 4 5”,然后继续向左扫描,扫描到时,将右移做相邻两数字串的运算符5*4 记录下这个数字串“20 5”,扫描到+时当前数字串为“1 20 5”,将+右移做相邻两数字串的运算符,记为1+20,结果为"21 5",扫描到-时记为21-5,故表达式的值为16。
3.2、中缀表达式计算方式
“1 + (( 2 + 3)* 4 ) – 5” 要从左至右扫描表达式,和人类数学中计算方式一样,计算机中不懂(),+ ,- * ,/等计算优先级,故一般不采用此表达式进行数学计算
3.3、后缀表达式计算方式
要从左至右扫描表达式,首先从左边第一个字符开始判断,若当前字符是数字则一直到数字串的末尾再记录下来,若 为运算符,则将左边离得最近的两个“数字串”作相应运算,然后以此作为一个新的“数字串”并记录下来;扫描到表达式 最右端时扫描结束,最后运算的值即为表达式的值。
例如:对后缀表达式“1 2 3 + 4 * +5 – ”求值,扫描到1时,记录下这个数字串,扫描到3时,记录下这个数字串,当扫描到+时,当前数字串为"1 2 3",将+左移做相邻两数字串的运算符,记为2+3,结果为5,记录下5这个新数字串为“1 5”,然后继续向右扫描,扫描到时此时数字串“1 5 4”,将左移做相邻两数字串的运算符5*4 记录下这个数字串“1 20”,扫描到+时当前数字串为“1 20”,将+左移做相邻两数字串的运算符,记为1+20,结果为"21",扫描到-时此时数字串为“21 5”记为21-5,故表达式的值为16。
来源:oschina
链接:https://my.oschina.net/xppba/blog/3188602