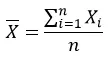
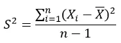
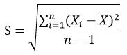
统计学里最基本的概念就是样本的均值、方差、标准差。首先,我们给定一个含有n个样本的集合,下面给出这些概念的公式描述:
均值:
方差:
标准差:
均值描述的是样本集合的中间点,它告诉我们的信息是有限的。
方差(variance)是在概率论和统计方差衡量随机变量或一组数据时离散程度的度量。概率论中方差用来度量随机变量和其数学期望(即均值)之间的偏离程度。统计中的方差(样本方差)是各个数据分别与其平均数之差的平方的和的平均数。在许多实际问题中,研究方差即偏离程度有着重要意义。方差是衡量源数据和期望值相差的度量值。
而标准差给我们描述的是样本集合的各个样本点到均值的距离之平均。
以这两个集合为例,[0, 8, 12, 20]和[8, 9, 11, 12],两个集合的均值都是10,但显然两个集合的差别是很大的,计算两者的标准差,前者是8.3后者是1.8,显然后者较为集中,故其标准差小一些,标准差描述的就是这种“散布度”。之所以除以n-1而不是n,是因为这样能使我们以较小的样本集更好地逼近总体的标准差,即统计上所谓的“无偏估计”。而方差则仅仅是标准差的平方。
来源:CSDN
作者:weixin_45664706
链接:https://blog.csdn.net/weixin_45664706/article/details/104652506