截止到今天,我国新冠肺炎的治愈人数已经超过了5万,感觉看到曙光了,再坚持俩月就能出去撒欢了。为什么说俩月呢?我认为即便全国一例都没有了也得再关1个月用于观察,然后距离我国确诊患者降为几乎为0的那天我估计还得1个月,所以加起来俩月。俩月后就是五一,希望五一能出去游玩。。。
进入正题,今天接着讲第二篇,开始第5章-用一种非数学的方法理解雷达。
照例先上目录,如下图所示。

5. 用一种非数学的方法理解雷达
5.1 如何用相量便是一个信号
5.2 不同相位信号的合成
5.2.1 闪烁
5.3 不同频率信号的合成
5.3.1 频率转换
5.3.2 镜像频率
5.3.3 边带的产生
5.4 将信号分解为同相(I)与正交(Q)分量
5.4.1 辨别多普勒偏移的方向
5.4.2 区分信号和镜像:镜像抑制
5.5 总结
这一章其实是介绍了如何使用相量这一几何的方法来处理和分析雷达信号。请注意这里是相量(phasor)而不是向量或者矢量(vector)。那么什么是相量呢,它与向量或者矢量是什么关系呢?
相量是振幅、相位和频率均为时不变的正弦波的一个复数,是更一般的概念解析表示法的一个特例。
向量和矢量其实是一样的,英文都叫vector,但是本文要把他们做下区分,只代表个人看法。物理上一般将平面上或者空间内的一段带有方向的线段叫做矢量,数学上将一维矩阵叫做向量,向量中元素的个数不受限制。
大家都知道矢量,比如高中物理我们学过,如何使用矢量来同时表示速度的大小和方向。要用向量表示地面上物体的速度矢量其实很简单,只用两个元素的一维矩阵就可以表示。比如速度是5m/s,方向是东偏北36.87°,用数学方法来表示就是[3 4],3代表东西方向速度为3m/s,4代表南北方向速度为4m/s。如果再加上上下方向的速度为[3 4 0],它就是一个3个元素的一维矩阵。
相量如果用数学表示也是一个由3个元素组成的一维矩阵。第一个元素代表相量投影在实轴方向的振幅,第二个元素代表相量投影在虚轴方向的振幅,第三个元素代表相量的旋转速度,数值的正负代表旋转的方向。所以相量可以理解为复平面内绕0点旋转的矢量。它是会旋转的矢量。
举例,使用相量来表示一个正弦波,如下图所示。左图中y轴为虚轴,x轴为实轴;右图中横轴为时间轴,纵轴为y轴。

从这一章开始,我将引入MATLAB这一工具,下图就是我使用MATLAB绘制的动图的截图,不会生成gif,想看动图的请下载附件的代码。

利用相量,人们可以很好的理解频率调制、幅度调制,理解边带的产生和镜频的产生。这里就不赘述了,大家看书。章末原书作者还提了分贝的使用,在雷达行业分贝这一单位经常使用。
进入章末,原书作者给出的扩展阅读如下

进入问答环节,检验你学习效果的时候到了。

1.旋转相量如何映射到雷达信号的正弦波?
答:见上文的MATLAB代码
2.借助相量图,说明两个频率相同但相位不同的信号是如何结合在一起的。
答:见下图。注意频率相同意味着旋转速度相同,意味着任一时刻A和B的夹角相同。
3.相量图如何表示不同频率信号的组合?
答:见下图。固定一个,另一个相对旋转,相对旋转速度为角频率之差。振幅为二者的相量和。红色线即为A、B信号的合成。
4.雷达系统的传输频率为10GHz,则这个信号的角频率是多少?
答:2*π*10G rad/s
5.解释术语“镜像频率”和“边带”。
答:1)镜像频率,顾名思议,肯定是两个频率呈左右镜像,如下图所示fs1与fs2互为镜像频率。下面我用数学的方式来解释镜频的产生,用相量的方式感觉不太好理解。
那镜像频率是如何产生的呢,在雷达信号处理的过程中,我们要对ADC采样后的数据进行下变频处理。我们假设回波数据r(t)的简略数学模型为:
公式编辑实在崩溃,直接截了word里的图过来。。。
2)边带。这次我们用相量的方式来理解。如果我们将图5-16中的3个信号全部相加,会得到什么呢?看图5-17和图5-18。
我们得到了一个调幅信号!是信号SL和SU(对应图5-16频谱中的fs1和fs2)对信号C(对应图5-16频谱中的fLO)。由于fs1和fs2分布在fLO的两边,所以fs1和fs2叫边带。
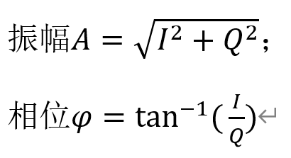
6.I和Q分量如何同时恢复信号的振幅和相位?
答:
7.信号是如何分解成I和Q分量的?
答:欧拉公式。
8.解释“闪烁”一词。
答:两个以上的回波合成会导致闪烁。如下图所示,飞机反射了两个回波。相量图旋转起来你就明白了,合成的回波的幅度呈周期性的变化,导致目标强度也呈周期性的变化,这种现象就叫闪烁。其实闪烁的频率是很快的,肉眼是看不到的。
9.I和Q分量如何确定多普勒信号的方向?
答:根据IQ分量计算出相位,通过相位变化的正负来确定多普勒信号的方向。如下图所示。相量12345678表示依次收到的8个回波,如果目标是相对静止的,则这8个回波的相位全部一样,在相量图上就不是下图中那样了,就是重合在一起了。如果目标是相对运动的,则这8和回波的相位就不一样了,大家可以仔细思考以下为什么不一样,相位的变化引起了频率的变化,这个频率的变化量就是多普勒频率。如果目标在靠近,则多普勒频率为正,相量图逆时针旋转;反之,顺时针旋转。
10.两个雷达回波的振幅相差10倍,那么用分贝表示的功率比是多少?
答:20log10,即20dB。
这章作者还讲了分贝这个单位的一些计算,一些常用的计算如下:

总结一下,这章主要是介绍了相量这一图形化的分析手段,非常直观方便。它与数学的方式相比各有优劣。比如,用相量来理解调幅就非常好,但是理解调频就比较困难。使用数学公式则相反,正好互补。
来源:CSDN
作者:lightninghenry
链接:https://blog.csdn.net/lightninghenry/article/details/104662994








