如何理解矩阵特征值以及特征向量?
可以把A看成是一个线性变换,那么这个定义可以看成对于向量x而言,在A的作用下保持方向不变(可能反向),进行大小为 的缩放。
特征向量所在的直线包含了所有特征向量.
矩阵乘以特征向量可以看成是矩阵在每个特征向量方向上的投影。通过求特征值和特征向量把矩阵数据投影在一个正交的空间,而且在各个方向的投影大小就是特征值。 最大特征值并不是说数据在所有方向的投影的最大值,而仅限于正交空间的某一方向。最大特征值的特征向量所对应的方向就是速度最大的方向。
其实是一种数据的处理方法,可以简化数据。
特征值特征向量的重要例子:数据挖掘中PCA(主成分分析)用于数据降维
详情点击
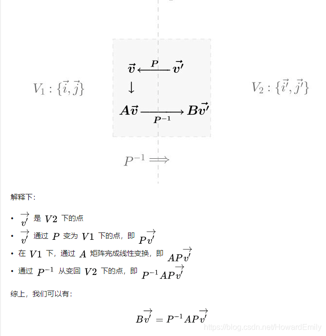
什么是相似矩阵?有什么用?
线性变换
例如:
(类似于一次函数 y = x)
线性变换通过指定基下的矩阵A来表示
同一个线性变换,不同基下的矩阵称为相似矩阵.(任意向量在不同的基中有不同的表示)
线性变换也可以直观的理解为对n维空间中的一个立体(随便什么形状的)伸缩或者拉伸。其中这个n维立体中的每个点都经过这个线性变换,变成n维空间中的一个新的立体.

将一个矩阵相似对角化为另一个矩阵,可以简化坐标系,使看起来比较直观。
另一方面可以很方便的矩阵的幂级数。
例如:
行列式的本质是什么?
行列式是线性变换的伸缩因子。(放大率) 之所以这里行列式线性变换的伸缩因子或者放大率主要是因为 矩阵变换的本质其实是基的变换,而这种基的变换是通过一个矩阵来改变的,其值就是所对应的行列式的值,它代表了对图形的缩放。 [马同学行列式的本质](https://www.zhihu.com/question/36966326/answer/162550802) ### [矩阵乘法的本质](https://www.zhihu.com/question/21351965) 矩阵乘法对应了一个变换,是把任意一个向量变成另一个方向或长度大多不同的新向量。在这个变换的过程中,原向量主要发生旋转、伸缩的变化。如果矩阵对某一个向量或某些向量只发生伸缩变换而不对这些向量产生旋转的效果,那么这些向量就称为这个矩阵的特征向量,伸缩的比例就是特征值。如何理解矩阵的秩
来源:CSDN
作者:Statusrank
链接:https://blog.csdn.net/HowardEmily/article/details/104648078