数据结构实验之二叉树一:树的同构

余生颓废 提交于 2020-03-04 14:21:42

数据结构实验之二叉树一:树的同构

Description

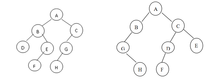
给定两棵树T1和T2。如果T1可以通过若干次左右孩子互换就变成T2,则我们称两棵树是“同构”的。例如图1给出的两棵树就是同构的,因为我们把其中一棵树的结点A、B、G的左右孩子互换后,就得到另外一棵树。而图2就不是同构的。



 

图1

 

图2

现给定两棵树,请你判断它们是否是同构的。

Input

 输入数据包含多组,每组数据给出2棵二叉树的信息。对于每棵树,首先在一行中给出一个非负整数N (≤10),即该树的结点数(此时假设结点从0到N−1编号);随后N行,第i行对应编号第i个结点,给出该结点中存储的1个英文大写字母、其左孩子结点的编号、右孩子结点的编号。如果孩子结点为空,则在相应位置上给出”-”。给出的数据间用一个空格分隔。
注意:题目保证每个结点中存储的字母是不同的。

Output

 如果两棵树是同构的,输出“Yes”,否则输出“No”。

Sample

Input 

8
A 1 2
B 3 4
C 5 -
D - -
E 6 -
G 7 -
F - -
H - -
8
G - 4
B 7 6
F - -
A 5 1
H - -
C 0 -
D - -
E 2 -

Output 

Yes

Hint

测试数据对应图1
 
 
代码:
 
 
#include<bits/stdc++.h>

using namespace std;

typedef struct Tnode
{
    char data;
    int a,b;
}Tnode, *Tlink;

void createtree(Tlink t,int n)//注意此处的参数
{
   char c;
   char a, b;
   for(int i = 0; i < n; i++)
   {
       cin >> c >> a >> b;
       t[i].data =  c;
       if(a != '-')
        t[i].a = a-'0';
       else
        t[i].a = 10;
       if(b != '-')
        t[i].b = b-'0';
       else
        t[i].b = 10;


   }
   t[10].data = '-';

}

bool checkc(Tlink t1,Tlink t2,int n,int m)
{
    int i,j;
    int sum = 0;
    for(i = 0; i < n; i++)
    {
        for(j = 0; j < m; j++)
        {
            if(t2[j].data == t1[i].data)
            {
                int a1 = t1[i].a;
                int a2 = t2[j].a;
                int b1 = t1[i].b;
                int b2 = t2[j].b;
                if( (t1[a1].data == t2[a2].data &&t1[b1].data == t2[b2].data) ||(t1[a1].data == t2[b2].data &&t1[b1].data == t2[a2].data))
                {
                    sum++;
                    continue;
                }

            }
        }
    }
    if(sum == n)
        return true;
    else
        return false;

}

int main()
{
    int n, m;
    while(~scanf("%d",&n))
    {


    Tnode t1[12],t2[12];
    createtree(t1,n);
    cin >> m;
    createtree(t2,m);
    if(m != n)
    {
        cout << "No" << endl;
    }
    else
    {
        bool e= checkc(t1,t2,n,m);//竟然忘了加参数
        if(e)
        {
            cout << "Yes" << endl;
        }
        else
            cout << "No" << endl;
    }
    }

    return 0;
}
标签
易学教程内所有资源均来自网络或用户发布的内容,如有违反法律规定的内容欢迎反馈
该文章没有解决你所遇到的问题?点击提问,说说你的问题,让更多的人一起探讨吧!