一、Matlab线性规划标准型
min(c'*x) s.t.Ax <= B;
二、函数形式
linprog(c,a,b,aeq,beq,lb,ub,x0,options);
%c为目标函数系数矩阵
%a为限制条件系数矩阵,b为(不)等号右边构成的矩阵
%aeq,beq为等号限制条件
%x0为初始值,options为选项
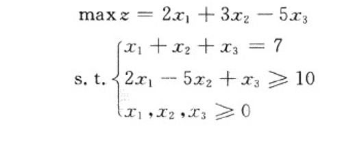
三、例子
clear
c = [2; 3; -5];
a = [2 -5 1];
b = -10;
aeq = [1 1 1];
beq = [7];
x = linprog(-c,-a,-b,aeq,beq,zeros(3,1));
val = c'*x;
来源:CSDN
作者:FrankXCR
链接:https://blog.csdn.net/FrankXCR/article/details/104613294