总述
- 
1.线性规划的短处  
- 
2.求解目标规划的思路 
 a.加权系数法- 为每一目标赋一个权系数,把多目标模型转化成单一目标的模型。但困难是要确 定合理的权系数,以反映不同目标之间的重要程度。
 b.优先等级法 - 将各目标按其重要程度不同的优先等级,转化为单目标模型。
 
目标规划的数学模型
目标规划的相关概念
- 
正、负偏差变量  
- 
绝对(刚性)约束和目标约束  
- 
优先因子与权系数  
- 
目标规划的目标函数  
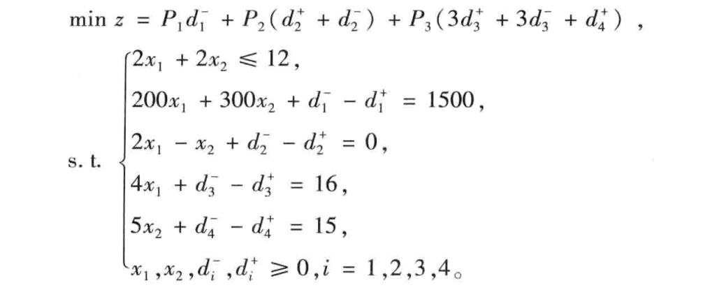
例子
题目:
解:
目标规划的一般数学模型

注意:建立目标规划的数学模型时,需要确定目标值、优先等级、权系数等,它们具有一定的主观性和模糊性,可以用专家评定法给以量化。
求解目标规划的序贯算法
- 核心:根据优先级的先后次序, 将目标规划问题分解成一系列的单目标规划问题,然后再依次求解。
- 对于k=1,2,…,q,求解单目标规划 
例子


解:

lingo求解
- 求第一级目标
medel:
sets: !定义集合;
variable/1..2/:x;
S_Con_Num/1..4/:g,dplus,dminus;
S_con(S_Con_Num,Variable):c; !类似二维数组;
endsets
data: !所需的数据;
g=1500 0 16 15;
c=200 300 2 -1 4 0 0 5;
enddata
min=dminus(1); !要求dminus最小,满足题意;
2*x(1)+2*x(2)<12;
@for(S_Con_Num(i): @sum(Variable(j):c(i,j)*x(j))+dminus(i)-dplus(i)=g(i));
end

model:
sets:
variable/1..2/:x;
S_Con_Num/1..4/:g,dplus,dminus;
S_con(S_Con_Num,Variable):c;
endsets
data:
g=1500 0 16 15;
c=200 300 2 -1 4 0 0 5;
enddata
min=dminus(2)+dplus(2);
2*x(1)+2*x(2)<12;
@for(S_Con_Num(i): @sum(Variable(j):c(i,j)*x(j))+dminus(i)-dplus(i)=g(i));
dminus(1)=0;  ! 一级目标约束,为了不影响这级的计算 ;
@ for(variable:@ gin(x));
end

3.
来源:CSDN
作者:either up or down
链接:https://blog.csdn.net/qq_43786066/article/details/104599509





