第三章:分组密码
首先回顾一下密码学基本概念,一个密码系统由5个部分组成,包括明文空间、密文空间、密钥空间、加密算法、解密算法。

具体地说,什么是分组密码?(了解并掌握)

为了保证信息安全,分组密码采用了两个重要的结构。一、SPN置换结构;二、Feistel网络结构
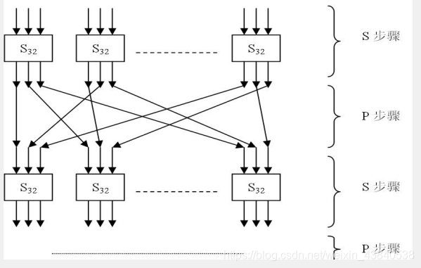
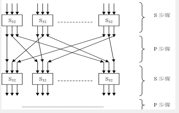
3.1 SPN结构,可以简称SP结构
3.1.1 由两个部分组成,S代表Substitution的首字母,表示一个黑盒

当我们输入一组数据,输出另外一组数据

这个输入输出的情况可能是等进等出,多进少出,这两个例子我们在后面的例子中会介绍到,我们称它为S盒
为了保证数据安全,S盒用到了两种技术,混淆和扩散

混淆的功能保证S盒能抵御统计攻击,这是密码攻击的基本安全保证,它们所起的作用是
3.1.2 第二个结构是P置换(Permutation)
用于交换各数据位的位置。
SP结构结合在一起,下面这个是一个两轮的示意图

3.2 第二个Feistel结构

DES特点(熟练掌握)

来源:CSDN
作者:Homyee King
链接:https://blog.csdn.net/weixin_43840538/article/details/104614153