一、题目描述:
给定一个链表,判断链表中是否有环。
为了表示给定链表中的环,我们使用整数 pos 来表示链表尾连接到链表中的位置(索引从 0 开始)。 如果 pos 是 -1,则在该链表中没有环。
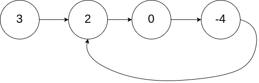
示例 1:
输入:head = [3,2,0,-4], pos = 1
输出:true
解释:链表中有一个环,其尾部连接到第二个节点。
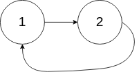
示例 2:
输入:head = [1,2], pos = 0
输出:true
解释:链表中有一个环,其尾部连接到第一个节点。
示例 3:
输入:head = [1], pos = -1
输出:false
解释:链表中没有环。
来源:力扣(LeetCode)
链接:https://leetcode-cn.com/problems/linked-list-cycle
著作权归领扣网络所有。商业转载请联系官方授权,非商业转载请注明出处。
二、题目分析:
使用快慢指针,slow一次走一步,fast一次走两步,slow和fast重合则表示有环。
三、代码描述:
/**
* Definition for singly-linked list.
* class ListNode {
* int val;
* ListNode next;
* ListNode(int x) {
* val = x;
* next = null;
* }
* }
*/
public class Solution {
public boolean hasCycle(ListNode head) {
//slow和fast都指向head
ListNode slow=head;
ListNode fast=head;
while(fast!=null&&fast.next!=null){
slow=slow.next;
fast=fast.next.next;
//两个节点重合,说明链表带环。
if(slow==fast){
return true;
}
}
return false;
}
}
来源:CSDN
作者:每天靠近一点点
链接:https://blog.csdn.net/qq_45328505/article/details/104573260