算法设计笔记(七)几类重要的函数

女生的网名这么多〃 提交于 2020-02-28 12:47:32

按增长快慢可以分为三类函数
指数函数,多项式函数,对数函数
在这里插入图片描述
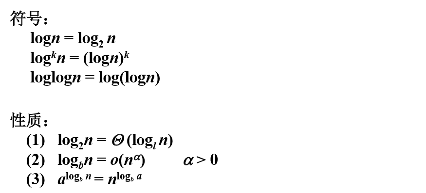
1、对数函数
一般关注函数的阶而不关注底数
在这里插入图片描述
重要的性质证明
在这里插入图片描述
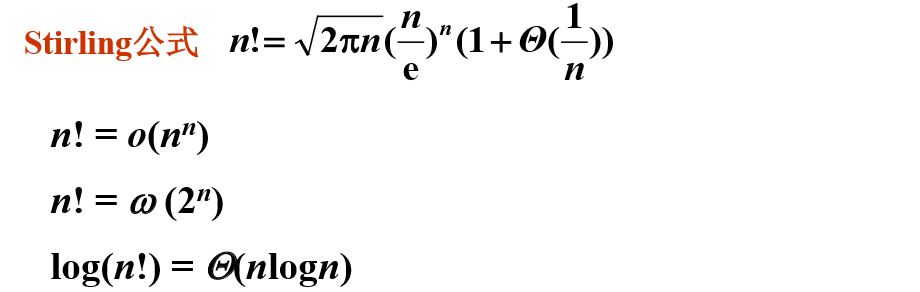
在这里插入图片描述2、指数函数与阶乘
在这里插入图片描述
斯特林公式的运用在这里插入图片描述
估计搜索空间大小在这里插入图片描述
在这里插入图片描述3、取整函数在这里插入图片描述
取整函数的性质
在这里插入图片描述在这里插入图片描述例:按阶的大小排序
在这里插入图片描述在这里插入图片描述

易学教程内所有资源均来自网络或用户发布的内容,如有违反法律规定的内容欢迎反馈
该文章没有解决你所遇到的问题?点击提问,说说你的问题,让更多的人一起探讨吧!