课程名称 | 零基础入门深度学习
授课讲师 | 孙高峰 百度深度学习技术平台部资深研发工程师
授课时间 | 每周二、周四晚20:00-21:00
编辑整理 | 孙高峰
内容来源 | 百度飞桨深度学习集训营
出品平台 | 百度飞桨
01 导读
本课程是百度官方开设的零基础入门深度学习课程,主要面向没有深度学习技术基础或者基础薄弱的同学,帮助大家在深度学习领域实现从0到1+的跨越。从本课程中,你将学习到:
-
深度学习基础知识
-
numpy实现神经网络构建和梯度下降算法
-
计算机视觉领域主要方向的原理、实践
-
自然语言处理领域主要方向的原理、实践
-
个性化推荐算法的原理、实践
本文由百度深度学习技术平台部资深研发工程师孙高峰为大家带来卷积神经网络基础之BN和Dropout.
02 批归一化(Batch Normalization)
批归一化方法方法(Batch Normalization,BatchNorm)是由Ioffe和Szegedy于2015年提出的,已被广泛应用在深度学习中,其目的是对神经网络中间层的输出进行标准化处理,使得中间层的输出更加稳定。
通常我们会对神经网络的数据进行标准化处理,处理后的样本数据集满足均值为0,方差为1的统计分布,这是因为当输入数据的分布比较固定时,有利于算法的稳定和收敛。对于深度神经网络来说,由于参数是不断更新的,即使输入数据已经做过标准化处理,但是对于比较靠后的那些层,其接收到的输入仍然是剧烈变化的,通常会导致数值不稳定,模型很难收敛。BatchNorm能够使神经网络中间层的输出变得更加稳定,并有如下三个优点:
-
使学习快速进行(能够使用较大的学习率)
-
降低模型对初始值的敏感性
-
从一定程度上抑制过拟合
BatchNorm主要思路是在训练时按mini-batch为单位,对神经元的数值进行归一化,使数据的分布满足均值为0,方差为1。具体计算过程如下:
1. 计算mini-batch内样本的均值

其中表示mini-batch中的第个样本。
例如输入mini-batch包含3个样本,每个样本有2个特征,分别是:
![]()
对每个特征分别计算mini-batch内样本的均值:

则样本均值是:
![]()
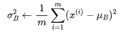
2. 计算mini-batch内样本的方差

上面的计算公式先计算一个批次内样本的均值和方差,然后再对输入数据做归一化,将其调整成均值为0,方差为1的分布。
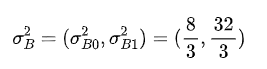
对于上述给定的输入数据,可以计算出每个特征对应的方差:

则样本方差是:

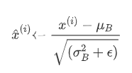
3. 计算标准化之后的输出

其中是一个微小值(例如),其主要作用是为了防止分母为0。
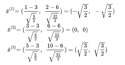
对于上述给定的输入数据,可以计算出标准化之后的输出:

-
读者可以自行验证由构成的mini-batch,是否满足均值为0,方差为1的分布。
如果强行限制输出层的分布是标准化的,可能会导致某些特征模式的丢失,所以在标准化之后,BatchNorm会紧接着对数据做缩放和平移。
![]()
其中和是可学习的参数,可以赋初始值,在训练过程中不断学习调整。
上面列出的是BatchNorm方法的计算逻辑,下面针对两种类型的输入数据格式分别进行举例。飞桨支持输入数据的维度大小为2、3、4、5四种情况,这里给出的是维度大小为2和4的示例。
-
示例一: 当输入数据形状是时,一般对应全连接层的输出,示例代码如下所示。
这种情况下会分别对K的每一个分量计算N个样本的均值和方差,数据和参数对应如下:
-
输入 x, [N, K]
-
输出 y, [N, K]
-
均值 ,[K, ]
-
方差 , [K, ]
-
缩放参数, [K, ]
-
平移参数, [K, ]
# 输入数据形状是 [N, K]时的示例import numpy as npimport paddleimport paddle.fluid as fluidfrom paddle.fluid.dygraph.nn import BatchNorm# 创建数据data = np.array([[1,2,3], [4,5,6], [7,8,9]]).astype('float32')# 使用BatchNorm计算归一化的输出with fluid.dygraph.guard():# 输入数据维度[N, K],num_channels等于Kbn = BatchNorm('bn', num_channels=3)x = fluid.dygraph.to_variable(data)y = bn(x)print('output of BatchNorm Layer: \n {}'.format(y.numpy()))# 使用Numpy计算均值、方差和归一化的输出# 这里对第0个特征进行验证a = np.array([1,4,7])a_mean = a.mean()a_std = a.std()b = (a - a_mean) / a_stdprint('std {}, mean {}, \n output {}'.format(a_mean, a_std, b))# 建议读者对第1和第2个特征进行验证,观察numpy计算结果与paddle计算结果是否一致
-
示例二: 当输入数据形状是时, 一般对应卷积层的输出,示例代码如下所示。
这种情况下会沿着C这一维度进行展开,分别对每一个通道计算N个样本中总共个像素点的均值和方差,数据和参数对应如下:
-
输入 x, [N, C, H, W]
-
输出 y, [N, C, H, W]
-
均值 ,[C, ]
-
方差 , [C, ]
-
缩放参数, [C, ]
-
平移参数, [C, ]
小窍门:
可能有读者会问:“BatchNorm里面不是还要对标准化之后的结果做仿射变换吗,怎么使用Numpy计算的结果与BatchNorm算子一致?” 这是因为BatchNorm算子里面自动设置初始值,这时候仿射变换相当于是恒等变换。在训练过程中这两个参数会不断的学习,这时仿射变换就会起作用。
# 输入数据形状是[N, C, H, W]时的batchnorm示例import numpy as npimport paddleimport paddle.fluid as fluidfrom paddle.fluid.dygraph.nn import BatchNorm# 设置随机数种子,这样可以保证每次运行结果一致np.random.seed(100)# 创建数据data = np.random.rand(2,3,3,3).astype('float32')# 使用BatchNorm计算归一化的输出with fluid.dygraph.guard():# 输入数据维度[N, C, H, W],num_channels等于Cbn = BatchNorm('bn', num_channels=3)x = fluid.dygraph.to_variable(data)y = bn(x)print('input of BatchNorm Layer: \n {}'.format(x.numpy()))print('output of BatchNorm Layer: \n {}'.format(y.numpy()))# 取出data中第0通道的数据,# 使用numpy计算均值、方差及归一化的输出a = data[:, 0, :, :]a_mean = a.mean()a_std = a.std()b = (a - a_mean) / a_stdprint('channel 0 of input data: \n {}'.format(a))print('std {}, mean {}, \n output: \n {}'.format(a_mean, a_std, b))# 提示:这里通过numpy计算出来的输出# 与BatchNorm算子的结果略有差别,# 因为在BatchNorm算子为了保证数值的稳定性,# 在分母里面加上了一个比较小的浮点数epsilon=1e-05
- 预测时使用BatchNorm
上面介绍了在训练过程中使用BatchNorm对一批样本进行归一化的方法,但如果使用同样的方法对需要预测的一批样本进行归一化,则预测结果会出现不确定性。
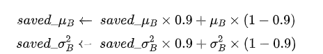
例如样本A、样本B作为一批样本计算均值和方差,与样本A、样本C和样本D作为一批样本计算均值和方差,得到的结果一般来说是不同的。那么样本A的预测结果就会变得不确定,这对预测过程来说是不合理的。解决方法是在训练过程中将大量样本的均值和方差保存下来,预测时直接使用保存好的值而不再重新计算。实际上,在BatchNorm的具体实现中,训练时会计算均值和方差的移动平均值。在飞桨中,默认是采用如下方式计算:

在训练过程的最开始将和设置为0,每次输入一批新的样本,计算出和,然后通过上面的公式更新和,在训练的过程中不断的更新它们的值,并作为BatchNorm层的参数保存下来。预测的时候将会加载参数和,用他们来代替和。
03 丢弃法(Dropout)
丢弃法(Dropout)是深度学习中一种常用的抑制过拟合的方法,其做法是在神经网络学习过程中,随机删除一部分神经元。训练时,随机选出一部分神经元,将其输出设置为0,这些神经元将不对外传递信号。
图11 是Dropout示意图,左边是完整的神经网络,右边是应用了Dropout之后的网络结构。应用Dropout之后,会将标了的神经元从网络中删除,让它们不向后面的层传递信号。在学习过程中,丢弃哪些神经元是随机决定,因此模型不会过度依赖某些神经元,能一定程度上抑制过拟合。
图11 Dropout示意图
在预测场景时,会向前传递所有神经元的信号,可能会引出一个新的问题:训练时由于部分神经元被随机丢弃了,输出数据的总大小会变小了。比如:计算其范数会比不使用Dropout时变小,但是预测时却没有丢弃神经元,这将导致训练和预测时数据的分布不一样。为了解决这个问题,飞桨支持如下两种方法:
-
1 downgrade_in_infer
训练时以比例随机丢弃一部分神经元,不向后传递它们的信号;预测时向后传递所有神经元的信号,但是将每个神经元上的数值乘以 。
-
2 upscale_in_train
训练时以比例随机丢弃一部分神经元,不向后传递它们的信号,但是将那些被保留的神经元上的数值除以 ;预测时向后传递所有神经元的信号,不做任何处理。
在飞桨dropout API中,paddle.fluid.layers.dropout通过dropout_implementation参数来指定用哪种方式对神经元进行操作,dropout_implementation参数的可选值是'downgrade_in_infer'或'upscale_in_train',缺省值是'downgrade_in_infer'。
说明:
不同框架中dropout的默认处理方式可能不一样,读者可以查看其API以确认用的是哪种方式。
飞桨dropout API包含的主要参数如下:
-
x,数据类型是Tensor,需要采用丢弃法进行操作的对象。
-
dropout_prob,对x中元素进行丢弃的概率。
-
is_test,是否运行在测试阶段,由于dropout在训练和测试阶段表现不一样,通过此参数控制其表现,默认值为False。
-
dropout_implementation,丢弃法的实现方式,有'downgrade_in_infer'和'upscale_in_train'两种,具体情况请见上面的说明,默认是'downgrade_in_infer'。
下面这段程序展示了经过dropout之后输出数据的形式。
# dropout操作
import numpy as np
import paddle
import paddle.fluid as fluid
# 设置随机数种子,这样可以保证每次运行结果一致
np.random.seed(100)
# 创建数据[N, C, H, W],一般对应卷积层的输出
data1 = np.random.rand(2,3,3,3).astype('float32')
# 创建数据[N, K],一般对应全连接层的输出
data2 = np.arange(1,13).reshape([-1, 3]).astype('float32')
# 使用dropout作用在输入数据上
with fluid.dygraph.guard():
x1 = fluid.dygraph.to_variable(data1)
out1_1 = fluid.layers.dropout(x1, dropout_prob=0.5, is_test=False)
out1_2 = fluid.layers.dropout(x1, dropout_prob=0.5, is_test=True)
x2 = fluid.dygraph.to_variable(data2)
out2_1 = fluid.layers.dropout(x2, dropout_prob=0.5, \
dropout_implementation='upscale_in_train')
out2_2 = fluid.layers.dropout(x2, dropout_prob=0.5, \
dropout_implementation='upscale_in_train', is_test=True)
print('x1 {}, \n out1_1 \n {}, \n out1_2 \n {}'.format(data1, out1_1.numpy(), out1_2.numpy()))
print('x2 {}, \n out2_1 \n {}, \n out2_2 \n {}'.format(data2, out2_1.numpy(), out2_2.numpy()))
04 总结
本文重点展开讲解了卷积神经网络里面的常用模块,如BN和Dropout。在后期课程中,将继续为大家带来内容更丰富的课程,帮助学员快速掌握深度学习方法。
【如何学习】
-
如何观看配套视频?如何代码实践?
视频+代码已经发布在AI Studio实践平台上,视频支持PC端/手机端同步观看,也鼓励大家亲手体验运行代码哦。扫码或者打开以下链接:
https://aistudio.baidu.com/aistudio/course/introduce/888
2. 学习过程中,有疑问怎么办?
加入深度学习集训营QQ群:726887660,班主任与飞桨研发会在群里进行答疑与学习资料发放。
>> 访问 PaddlePaddle 官网,了解更多相关内容。
来源:oschina
链接:https://my.oschina.net/u/4067628/blog/3171773