Leetcode 589.N叉树的前序遍历
1 题目描述(Leetcode题目链接)
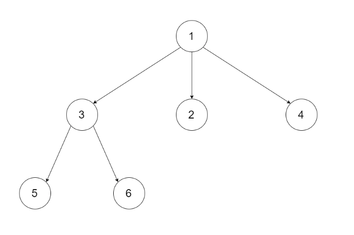
给定一个 N 叉树,返回其节点值的前序遍历。例如,给定一个 3叉树 :

返回其前序遍历: [1,3,5,6,2,4]。
说明: 递归法很简单,你可以使用迭代法完成此题吗?
2 题解
用栈的数据结构,方法同二叉树的前序遍历。
"""
# Definition for a Node.
class Node:
def __init__(self, val=None, children=None):
self.val = val
self.children = children
"""
class Solution:
def preorder(self, root: 'Node') -> List[int]:
if not root:
return []
retv = []
stack = [root]
while stack:
root = stack.pop()
retv.append(root.val)
stack.extend(root.children[::-1])
return retv
来源:CSDN
作者:就叫昵称吧
链接:https://blog.csdn.net/qq_39378221/article/details/104534174