线性回归之第二天

六月ゝ 毕业季﹏ 提交于 2020-02-26 21:25:15

线性回归—MSE

在这里插入图片描述

可决定系数—R的平方

在这里插入图片描述
在这里插入图片描述
在这里插入图片描述
在这里插入图片描述

局部加权回归

在这里插入图片描述
在这里插入图片描述
在这里插入图片描述
在这里插入图片描述
在这里插入图片描述

回归解决分类问题?

在这里插入图片描述
在这里插入图片描述
在这里插入图片描述
在这里插入图片描述

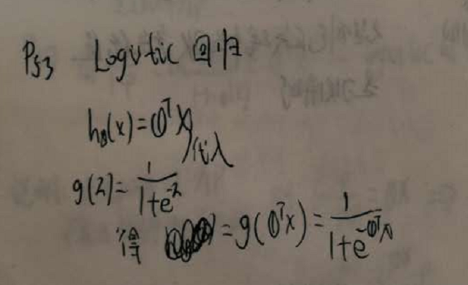
Logistic回归

在这里插入图片描述
在这里插入图片描述
在这里插入图片描述
在这里插入图片描述
在这里插入图片描述
在这里插入图片描述
在这里插入图片描述
在这里插入图片描述
在这里插入图片描述
在这里插入图片描述
在这里插入图片描述
在这里插入图片描述
在这里插入图片描述

Logistic回归损失

在这里插入图片描述
在这里插入图片描述
在这里插入图片描述
在这里插入图片描述
在这里插入图片描述
在这里插入图片描述
在这里插入图片描述

广义线性模型GLM

在这里插入图片描述
在这里插入图片描述

Softmax回归

在这里插入图片描述
在这里插入图片描述
在这里插入图片描述
在这里插入图片描述
在这里插入图片描述

ROC曲线以及AUC值

在这里插入图片描述
在这里插入图片描述
在这里插入图片描述
在这里插入图片描述
在这里插入图片描述
在这里插入图片描述
在这里插入图片描述
在这里插入图片描述
在这里插入图片描述
在这里插入图片描述
在这里插入图片描述
在这里插入图片描述
在这里插入图片描述

KNN近邻法说明

在这里插入图片描述
在这里插入图片描述

实例1

在这里插入图片描述
在这里插入图片描述

实例2–自回归滑动平均

![在这里插入图片描述](https://img-blog.csdnimg.cn/20200226191013975.png?x-o在这里插入图片描述
在这里插入图片描述
在这里插入图片描述
在这里插入图片描述
在这里插入图片描述
在这里插入图片描述
在这里插入图片描述
在这里插入图片描述
在这里插入图片描述
在这里插入图片描述
在这里插入图片描述

线性回归实践

读入样本数据

在这里插入图片描述
在这里插入图片描述
在这里插入图片描述

绘图

在这里插入图片描述
在这里插入图片描述
在这里插入图片描述
在这里插入图片描述
在这里插入图片描述

调参

在这里插入图片描述
在这里插入图片描述
在这里插入图片描述
在这里插入图片描述
在这里插入图片描述在这里插入图片描述
在这里插入图片描述
在这里插入图片描述
在这里插入图片描述

标签
易学教程内所有资源均来自网络或用户发布的内容,如有违反法律规定的内容欢迎反馈
该文章没有解决你所遇到的问题?点击提问,说说你的问题,让更多的人一起探讨吧!