树的定义
- 树(Tree)是n(n>=0)个结点的有限集。当n=0时成为空树,在任意一棵非空树中:
1 有且仅有一个特定的称为根(Root)的结点;
2 当n>1时,其余结点可分为m(m>0)个互不相交的有限集T1、T2、.Tm,其中每一个集合本身又是棵树,并且称为根的子树( Subtree)

- 注意:
n>时,根结点是唯一的,坚决不可能存在多个根结点
m>θ肘,子树的个数是没有限制的,但它们互相是定不会相交的。
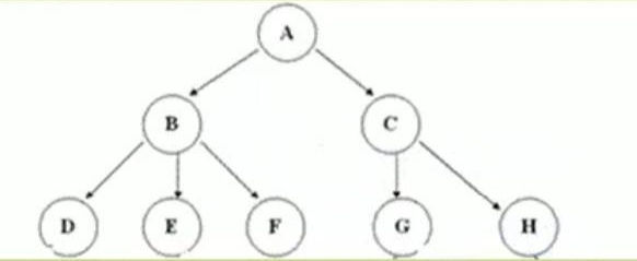
结点
结点分类
- 图片中,每一个圈圈我们就称为树的一个结点。结点拥有的子树数称为结点的度 ( Degree),树的度取树内各结点的度的最大值。
- 度为0的结点称为叶结点(Leaf)或终端结点;
度不为θ的结点称为分支结点或非终端结点,除根结点外,分支结点也称为内部结点。

结点间的关系
- 结点的子树的根称为结点的孩子(Child),相应的,该结点称为孩子的双亲(
Parent),同一双亲的孩子之间互称为兄弟(Sibling)。 - 结点的祖先是从根到该结点所经分支上的所有结点。
结点的层次
- 结点的层次(Level)从根开始定一起,根为第一层,根的孩子为第二层。
- 其双亲在同一层的结点互为堂兄弟。
- 树中结点的最大层次称为树的深度( Depth)或高度。

其他概念
- 如果将树中结点的各子树看成从左至右是有次序的,不能互换的,则称该树为有序树,否则称为无序树。
- 森林( Forest)是m(m>=0)棵互不相交的树的集合。对树中每个结点而言,其子树的集合即为森林。
树的存储结构
- 要存储树,简单的顺序存储结构和链式存储结构是不能滴!不过如果充分利用它们各自的特点,完全可以间接地来实现。
有三种不同的表示法:双亲表示法、孩子表示法、孩子兄弟表示法。
双亲表示法
- 双亲表示法,言外之意就是以双亲作为索引的关键词的一种存储方式。
- 我们假设以一组连续空间存储树的结点,同肘在每个结点中,附设一个指示其双亲结点在数组中位置的元素。
也就是说,每个结点除了知道自己是谁之外,还知道它的双亲在哪里。

- 这样的存储结构,我们可以根据某结点的 parent指针找到它的双亲结点,所用的时间复杂度是O(1),索引到parent的值为-1时,表示找到了树结点的根。
孩子表示法

兄弟表示法

更好的表示法

加上双亲索引
来源:CSDN
作者:sxdahh
链接:https://blog.csdn.net/sxdahh/article/details/104521198


