1.引子
1.1.为什么要学习数据结构与算法?
有人说,数据结构与算法,计算机网络,与操作系统都一样,脱离日常开发,除了面试这辈子可能都用不到呀!
有人说,我是做业务开发的,只要熟练API,熟练框架,熟练各种中间件,写的代码不也能“飞”起来吗?
于是问题来了:为什么还要学习数据结构与算法呢?
#理由一:
面试的时候,千万不要被数据结构与算法拖了后腿
#理由二:
你真的愿意做一辈子CRUD Boy吗
#理由三:
不想写出开源框架,中间件的工程师,不是好厨子
1.2.如何系统化学习数据结构与算法?
我想好了,还是需要学习数据结构与算法。但是我有两个困惑:
1.如何着手学习呢?
2.有哪些内容要学习呢?
学习方法推荐:
#学习方法
1.从基础开始,系统化学习
2.多动手,每一种数据结构与算法,都自己用代码实现出来
3.思路更重要:理解实现思想,不要背代码
4.与日常开发结合,对应应用场景
学习内容推荐:
数据结构与算法内容比较多,我们本着实用原则,学习经典的、常用的数据结构、与常用算法
#学习内容:
1.数据结构的定义
2.算法的定义
3.复杂度分析
4.常用数据结构
数组、链表、栈、队列
散列表、二叉树、堆
跳表、图
5.常用算法
递归、排序、二分查找
搜索、哈希、贪心、分治
动态规划、字符串匹配
2.考考你
在上一篇【数据结构与算法系列三(数组)】中,我们知道了最基础的数据结构:数组。在这一篇中,我们再来看另外一种基础数据结构:链表。常用的链表有:单链表、双向链表、循环链表。
这一篇我们主要看:单链表
#考考你:
1.你能用自己的话描述链表吗?
2.你知道链表和数组的区别吗?
3.你知道都有哪些常用的链表吗?
3.案例
3.1.链表定义
链表与数组一样,都是常用的基础数据结构,它通过“指针”将一组零散的内存块串联起来使用。每一个零散的内存块称为:节点。
为了将所有节点串联起来,每个链表节点除了存储数据,还需要存储链上下一个节点的地址,我们把存储下一个节点地址的指针,称为:后继指针。
链表有两个特殊的节点:头节点、尾节点
头节点:第一个节点
尾节点:后继指针指向null的节点
如图:

3.2.链表与数组区别
3.2.1.内存空间
上一篇我们知道数组的一个特点:需要连续的内存空间。链表与数组刚好相反,链表不需要连续的内存空间,它是通过“指针”将一组零散的内存块串联起来使用。
如图:

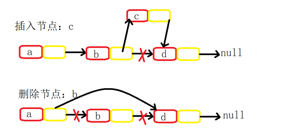
3.2.2.操作:插入、删除
数组的插入、删除操作,需要向后,向前移动数据,时间复杂度是:O(n)
链表的插入、删除操作,只需要改变节点指针,不需要移动数据,时间复杂度是:O(1)
如图:

3.2.3.操作:查找
数组的内存空间是连续的,支持随机访问操作,根据下标索引访问,时间复杂度是:O(1)
链表的内存空间不连续,不支持随机访问操作,从头节点遍历访问,时间复杂度是:O(n)
3.3.单链表代码实现
3.3.1.节点封装
/**
* 链表节点:Node<E>
*/
class Node<E>{
private E e;
private Node<E> next;
public E getE() {
return e;
}
public void setE(E e) {
this.e = e;
}
public Node<E> getNext() {
return next;
}
public void setNext(Node<E> next) {
this.next = next;
}
}
3.3.2.完整代码
package com.anan.struct.linetable;
/**
* 单链表实现思路:
* 1.空闲一个头节点,即头节点不存储数据
* 2.这样有利于简化链表的实现
*/
public class SingleLinkedList<E> {
// 链表大小
private int size;
public int getSize() {
return size;
}
// 链表头节点
private Node<E> head;
// 链表尾节点
private Node<E> tail;
public SingleLinkedList(){
head = new Node<E>();
tail = head;
size = 1;
}
/**
* 在链表结尾插入元素
*/
public boolean add(E e){
// 创建节点
Node<E> node = new Node<E>();
node.setE(e);
// 改变尾节点指针,指向新节点
tail.next = node;
// 设置新的尾节点
tail = node;
// 链表大小加1
size ++;
return true;
}
/**
* 在指定索引位置,插入节点
*/
public boolean insertPos(int pos,E e){
// 判断索引位置有效性
if(pos < 1 || pos > size ){
return false;
}
// 创建节点
Node<E> node = new Node<E>();
node.setE(e);
// 获取插入位置节点
Node<E> posNode = get(pos - 1);
// 改变节点指针指向
node.next = posNode.next;
posNode.next = node;
// 链表大小加1
size ++;
return true;
}
/**
* 删除链表尾元素
*/
public boolean remove(){
// 获取链表倒数第二个元素
Node<E> node = get(getSize() - 2);
// 改变尾节点
tail = node;
node.next = null;
// 链表大小减1
size -- ;
return true;
}
/**
* 删除指定位置的元素(不能删除头节点)
*/
public boolean delPos(int pos){
// 判断索引位置有效性
if(pos < 1 || pos > size){
return false;
}
// 如果删除的是最后一个元素
if((pos + 1) == size){
remove();
}else{
// 获取删除元素节点
Node<E> node = get(pos);
// 获取删除元素的前一个节点
Node<E> preNode = get(pos - 1);
// 删除操作
preNode.next = node.next;
// 链表大小减1
size --;
}
return true;
}
/**
* 获取指定索引的链表节点
*/
public Node<E> get(int index){
// 判断索引有效性
if(index < 0 || index > size - 1){
return null;
}
// 从头节点开始遍历
Node<E> node = head;
for(int i=0; i< index; i++){
node = node.next;
}
return node;
}
/**
* 获取指定索引位置的数据
*/
public E getValue(int index){
// 获取节点
Node<E> node = get(index);
if(node == null){
return null;
}
return node.e;
}
/**
* 链表节点:Node<E>
*/
class Node<E>{
private E e;
private Node<E> next;
public E getE() {
return e;
}
public void setE(E e) {
this.e = e;
}
public Node<E> getNext() {
return next;
}
public void setNext(Node<E> next) {
this.next = next;
}
}
}
3.3.3.测试
package com.anan.struct.linetable;
/**
* 测试单链表
*/
public class SingleLinkedListTest {
public static void main(String[] args) {
// 1.创建链表,添加元素
SingleLinkedList<Integer> list = new SingleLinkedList<Integer>();
for (int i = 0; i < 5; i++) {
list.add(i);
}
System.out.println("1.创建链表,添加元素-----------------------------------------");
list(list);
// 2.指定位置插入元素
System.out.println("2.指定位置【5】插入元素-----------------------------------------");
list.insertPos(5,666);
list(list);
// 3.删除链表结尾元素
System.out.println("3.删除链表结尾元素-----------------------------------------");
list.remove();
list(list);
// 4.再次在链表结尾添加元素
System.out.println("4.再次在链表结尾添加元素-----------------------------------------");
list.add(888);
list(list);
// 5.删除指定位置元素
System.out.println("5.删除指定位置【1】元素-----------------------------------------");
list.delPos(1);
list(list);
}
/**
* 遍历输出链表
* @param list
*/
public static void list(SingleLinkedList<Integer> list){
System.out.println("当前链表大小,size:" + list.getSize());
for (int i = 1; i < list.getSize(); i++) {
System.out.println(list.getValue(i));
}
}
}
测试结果:
D:\02teach\01soft\jdk8\bin\java com.anan.struct.linetable.SingleLinkedListTest
1.创建链表,添加元素-----------------------------------------
当前链表大小,size:6
0
1
2
3
4
2.指定位置【5】插入元素-----------------------------------------
当前链表大小,size:7
0
1
2
3
666
4
3.删除链表结尾元素-----------------------------------------
当前链表大小,size:6
0
1
2
3
666
4.再次在链表结尾添加元素-----------------------------------------
当前链表大小,size:7
0
1
2
3
666
888
5.删除指定位置【1】元素-----------------------------------------
当前链表大小,size:6
1
2
3
666
888
Process finished with exit code 0
4.讨论分享
#考考你答案:
1.你能用自己的话描述链表吗?
1.1.链表与数组一样,都是常用的基础数据结构
1.2.链表通过“指针”将一组零散的内存块串联起来使用
1.3.每一个零散的内存块称为:节点
1.4.链表的每个节点,除了存储数据以外,还需要存储一个指向下一个节点的指针
1.5.通常我们把指向下一个节点的指针,称为:后继指针
2.你知道链表和数组的区别吗?
2.1.数组需要连续的内存空间,链表不需要
2.2.插入、删除操作
2.2.1.数组需要移动数据,时间复杂度是:O(n)
2.2.2.链表不需要移动数据,时间复杂度是:O(1)
2.3.查找操作
2.3.1.数组支持随机访问操作,时间复杂度是:O(1)
2.3.2.链表需要从头节点遍历,不支持随机访问操作,时间复杂度是:O(n)
3.你知道都有哪些常用的链表吗?
3.1.单链表
3.2.双向链表
3.3.循环链表
来源:oschina
链接:https://my.oschina.net/u/4450329/blog/3173854