5.系统风险评估的应用
5.1 压力测试金融网络
我们现在使用我们的方法进行压力测试。我们假设除了L的行和、列和外,我们还观察到外部资产和对银行间网络以外实体的负债。表1显示了基于此的简单资产负债表。
总负债向量为,净资产向量为。如果,净值对应于银行 权益的账面价值。
确定性的比例冲击是由:银行i外部资产缩减为。如果银行属于集合表示完全资不抵债。基础性破产完全是由外部冲击造成的,假设网络中的所有银行都在履行其义务。基础性破产仅通过负债矩阵的行和列和来确定,而不取决于每个个体
破产也可能是由其他银行无法偿还债务造成的,这就是所谓的传染性破产。作为一种传染机制,我们使用清算支付方法(Eisenberg and Noe 2001)并将其扩展为包括违约成本(Rogers and Veraart,2013)。其他的扩展也可以被利用,例如,折价销售 (Cifuentes et al. 2005);破产成本、折价销售和交叉持有的组合(Awizus and Weber,2015);或其他选择,如破产级联算法(Amini et al. 2016)和系统性风险测度 (Chen et al. 2013, Biagini et al. 2015, Feinstein et al. 2015, Kromer et al. 2016)。
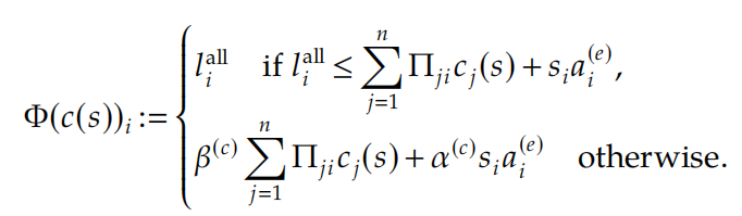
清算方法的主要思想与所有负债都具有同等优先权的假设相一致,即银行以与最初债务相同的比例偿还其债权人。我们定义了相对负债矩阵,否则为0。清偿向量是是
其中是常量建模破产成本(Rogers and Veraart 2013),是由Eisenberg和Noe(2001)引入的经典结算向量,对应于无破产成本。如果,则i银行处于破产状态;这包括传染性破产和基本性破产。
5.2 示例
为了说明底层网络上违约和结算支付的敏感性,我们考虑了一个简单的情况,可以很容易地分析给定行和列和下所有网络的特征。
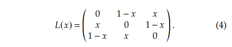
考虑三家银行的网络,负债矩阵(4)
除行和、列和之外,选择作为外部资产,作为外部负债。因此,负债总额,净资产是。因此,只有银行1处于基础性破产状态。
我们使用清算机制,没有破产成本。图5显示了银行间市场的稳定性对网络分布的依赖性。仅仅从边缘a,l,我们不能确定银行2和3的结果。
在一些网络星座中,两者都有传染性的违约;在另一些星座中,只有一个。即使在其中只有一个银行因危机蔓延而违约的情况下,清算付款总额也大相径庭。此外,两个银行都破产的参数范围对应于清算付款的最高价值。这可以用损失(部分)被两家银行的净值吸收,而不是只有一家银行的净值吸收来解释。
-
将标准KL方法应用于此示例,给出了负债矩阵L(1/2)。在这种情况下,只有2号银行的违约行为具有传染性,但这并不是最糟糕的结果。因此,KL方法确实可以低估传染性。
-
最小密度,具有或的圆形网络的边数最少。然而,它们并不代表最糟糕的网络场景。这表明,与边缘一致的最稀疏的网络不一定是传染风险最高的网络。因此,按照Craig and Von Peter (2014)的建议,使用这样一个网络作为系统风险的上限并不总是有效的。
将我们的基本模型应用于此示例。然后,一旦采样器达到极端情况x=0或x=1之一,它只在这两种情况之间迭代,以相同的概率访问每一种情况(使用长度为3的循环移动)。这与模型是一致的-类似于附录B1中的参数。可以表明,这些极端情况比中间情况更有可能发生。
5.3 实证分析
在下面演示了我们的方法如何应用于经验数据。为了做到这一点,我们使用了参加欧洲银行管理局(EBA)2011压力测试的银行的数据。
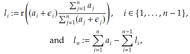
对于每一家银行,总资产、银行间资产和净值(即一级资本)都是可用的。因此,外部资产可作为总资产与银行间资产之间的差额。数据集中未提供同业负债,一些研究假设,例如,Chen(2016)和 Glasserman and Young(2015)。我们将假设是的稍微扰动版本,以确保满足条件(11)。
其中r(·)是四舍五入函数到小数点后一位。是从均值为0和标准差为100的正态分布中独立实现的。在整个例子中,我们使用了的一个固定实现。利用这一假设,外部负债由给出。
数据
查看EBA压力测试数据的子集,其中包含11家德国银行,如Chen等(2016)。相应的资产负债表数据在线上支持文档第5节中提供。EBA压力测试数据集包含每家银行的总银行间资产和某一银行从某一特定国家的银行获得的银行间资产总额。为了在这11家银行之间构建一个封闭的网络,我们只使用来自其他德国银行的银行间资产(而不是所有国家的银行间资产总额)。
我们使用简化的假设,即这些银行间资产来自网络中的银行。而除了我们正在考虑的11家银行之外,它们将部分来自其他德国银行,在我们的分析中,所有其他资产都被认为是外部资产,即使其中一部分是来自不是我们所认为的网络的一部分银行的银行间资产。
数据集允许我们研究异构网络中的破产行为,这在现有文献中很少做到。然而,考虑到上述简化的假设,结果应该被认为是方法的说明,而不是有关所涉银行的具体信息。
起初,所有银行都是有偿付能力的。然后,我们将确定性冲击应用于网络中所有11家银行的外部资产,考虑到受到冲击的外部资产这一冲击导致了四家银行的基础性破产:DE017、DE022、DE023和DE024。然后,我们使用我们的新方法来确定其余7个银行的后验破产概率。
5.3.1.基本模型-同质网络假设
假设所有的链接概率相同,。我们考虑,我们不认为概率小于0.2,因为需要满足的边条件,我们至少需要的负债矩阵非对角线元素为正。
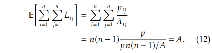
我们假设指数分布的参数建模在所有现有边缘上的权重都是相同的,即,设定,其中确保负债汇总表条目的预期总数等于观察到的总数,即
通过这个参数选择,我们运行吉布斯采样器,我们丢弃了最初的10,000个样品作为预烧。然后每5000步保留一个样本,总共产生10,000个样本。
图6显示了使用有或没有违约成本的清算方法,那么对于没有基本性破产的各种银行来说,破产的(后验)概率。在我们的模拟中,没有出现在图中的银行要么根本没有偿付能力,要么从未破产。
破产概率显然取决于以边缘概率p为特征的网络结构。
在没有破产成本的情况下(参见图6(a)),我们看到破产概率在p中降低。图6(b)和图6©显示,在存在违约成本的情况下,违约概率通常较高。对于我们选择的违约成本,其余七家银行原则上都可以违约。对于p=0.2,相当小(这里小于0.5)的银行违约概率往往会降低,而对于较大(这里大于0.5)的银行违约概率则会下降。因此,人们不能笼统地说,更多的连接网络是更稳定的,稀疏的网络是更脆弱的。
更多的连接网络更均匀地传播损失,因此银行从银行间网络中获得相对较小损失的概率相对较高。在稀疏网络中,银行以较小的概率从银行间网络接收相对较大的损失。
- 银行业已经接近违约(银行违约的概率很高),那么银行间负债的少量额外损失已经足以迫使银行破产。随着更多的连接增加了这种发生的概率,我们在p中看到了破产概率的增加。如果一家银行资本金较好(即违约概率较小),则需要银行间网络的相对较大的损失才能导致违约。
- 更多的连接网络只会导致来自银行间网络的每家银行相对较小的损失-这就是为什么对于资本更好的银行来说,违约概率在p中是下降的。
K-L方法的比较
为了比较起见,我们在网络上运行了图6中提出的三种不同的清除机制,这是从最小化Kullback-Leibler差异中获得的。我们使用了Temurshoev等人提供的代码(2013),产生的网络是完整的。当p值为1时,其违约概率在基本模型中趋于(几乎)为零的银行,是KL方法下的幸存者。在基本模型假设下具有较高违约概率的银行在KL方法下被归类为违约。
5.3.2.基本模型-分级网络假设
一些实证研究发现,金融网络表现出分层或某些核心外围结构;例如,见Craig和VonPeter(2014年)关于德国银行间市场。
基于这一点,我们现在考虑的情况下,并不是所有的边缘概率是相同的。
根据Nier等(2007,第6节),我们假设有个大银行和个小银行,共n家银行。大银行与其他银行(包括大银行或小银行)联系的概率被假定高于小银行相互联系的概率。
人们应该要求预期的链接数量保持不变。这可以通过固定设置来获得
设和分别表示小银行和大银行对应的指数集;设;对于所有
对于指数分布的参数,我们选择,这与(12)中的考虑是一致的。
在下面,我们使用两个不同的标准来决定分层结构:总银行间资产和总资产。结果如图7所示。
- 第一种网络将银行DE020作为唯一大型银行,第二种有银行DE019和DE020为唯一大银行(按同业资产计算),**图7(a)**包含相应的破产概率。
- 第三种网络采用银行DE017作为唯一的大型银行,第四种将DE017和DE018作为大银行使用(按总资产计算),**图7(b)**显示了相应的破产概率。
令n=11,。由(13)可得对于。
在这里没有报道的一些额外的模拟研究中,分层网络的破产概率与ER图之间的差距随。
根据银行间资产对银行进行分组似乎很自然。然而,通过分层网络结构来强制执行这一点并不是绝对必要的。即使在均匀的Erdos-Renyi网络中,相应的节点的后验度也会进行调整银行间资产的不均匀性。
表2的结果证实了这一点,它显示了网络中所有11个节点的平均出度,即,其中A是邻接矩阵,其中我们假设了一个齐次的具有不同链路概率的ER网络。由于我们的例子网络接近对称性,这里没有给出内度,因为是相似的。
在齐次的ER网络,对于所有节点,期望内度等于期望外度。现在的例子即为10p。表格2所有节点平均,外度接近于10p,但是对于单个节点是不一样的。所有11个节点的外度均值随银行间资产(表2第2栏所示)递增。
- 与表2的结果一致,当我们选择总银行间资产来决定分组时,分层的和非层级的,即ER网络之间的差异相当小,如图7(a)。
- 图7(b)说明了如果分组决策是基于不属于负债矩阵L本身的信息——例如使用外部资产——则破产概率如何变化。
在更大的网络中,人们可以考虑根据国家等将银行组合在一起。此外,人们可能希望在分层网络中使用两个以上的组。这是很容易接受的在我们的框架内。
5.3.3.层次模型-适应度模型
现在分析在适应度模型假设下,基于无破产成本清算的破产概率。选择作为度幂律分布的默认参数。对于用于建模权重的Gamma分布参数的先验分布π,对于用于建模权重的Gamma分布参数的先验分布π,。
MCMC采样器通过标准的Metropolis–Hastings步骤更新由适应度向量x和参数组成的θ。这方面的详细情况见在线支持文件第3节。对于θ的每一次更新,我们执行矩阵的更新。我们细化了结果链,每200个θ更新报告一个样本。我们总共生产了10,000个样品。烧入的步骤数设置为等于模拟主体部分使用的步骤的10%。
我们使用R中的CODA包 (Plummer et al. 2006)计算了L的所有分量以及θ的所有元素的有效样本大小:对于本节的所有模拟运行,有效样本量均在1000以上。进一步的诊断评估,在这里没有报告,没有显示任何趋同问题。
图8显示了破产概率对模拟程度分布(α、β和γ)参数的敏感性。
基本模式下存在违约风险的同一家银行(DE025、DE020和DE028),在适应度模式下也存在违约风险。在这两种模型假设下,它们的破产概率都在相似的范围内。破产概率随着度分布的幂律参数α的增加而减小(注意α<0)。正如我们在表2中看到的,α越小,相应的平均外度越低。这对应于本例中较高的破产概率,就像在基本建模假设下的情况一样。当我们改变幂律β和γ的范围参数时,也可以观察到类似的效果。更高的β值意味着更高的网络平均外度-见表2-我们再次观察到破产概率的下降。此外,较高的γ值意味着较高的平均外度和较低的破产概率。
在基本模型和适应度模型下,银行的排序保持不变。同业负债总额越大,出度越大(相应的后验适应度越大)。在幂律假设下,我们可以用少量的参数来影响外度变量。如果幂律的范围相当窄,即β,γ接近,我们就得到了一个更均匀的网络;否则,银行之间的偏离程度可能会有很大的变化。这受功率参数α选择的影响。
来源:CSDN
作者:正则君
链接:https://blog.csdn.net/weixin_40614311/article/details/104422749