集总元件低通原型滤波器是现代网络综合法设计微波滤波器的基础,各种低通、高通、带通和带阻滤波器,其传输特性大都是根据此原型特性推导出来的。正因为如此,才使得微波滤波器的设计得以简化,精度得以提高。
低通滤波器的理想衰减频率特性在ω’ =0 ∼ω1’ 范围内衰减为零,成为通带,ω’ >ω1’ 后衰减为无限大,成为阻带,ω1’成为截止频率。

图为低通原型滤波器的衰减频率特性
如果将这些衰减特征的频率变量ω’经过适当的变换,就可以得到新的频率ω为变量的衰减特性,用它们来表示高通、带通、带阻等类型滤波器。这种方法叫做频率变换,ω’与ω的关系式叫做变换式。

由于仅对横坐标的自变量ω’进行变换,故对纵坐标的衰减值并无影响,因此,当低通原型滤波器变换为其他类型滤波器时,幅度纹波特性仍保持不变。选取其中一种变换,必须使其对衰减特性的影响直接表示为实现这种特性的低通原型滤波器元件数值的变化,这样,可以避免再去求其他类型滤波器的衰减函数,以实现这种函数的一系列的复杂计算。下面分别说明从低通到高通、带通和带阻滤波器的频率变换。
1、由低通到高通的频率变换
设低通原型滤波器的频率变量为ω’,而高通滤波器的频率变量为ω,由于低通原型滤波器衰减特性的ω’= 0 和ω’= ∞两点,变换到高通滤波器上ω =∞ 和ω =0 两点,因此从低通到高通的变换式应取

这样不仅可使低通的ω’ = 0 点,变换为高通的ω = ∞ 点,ω’= ∞点变换为ω = 0点;而且使得ω’ =ω1’ 点,变换为ω1 =ω 点。因此,低通原型的通带变换为高通滤波器的通带,低通原型的阻带变换为高通滤波器的阻带。式中的负号是为适应在变换过程中元件性质改变的需要。低通原型中的电感,变换为高通滤波器中的电容,感抗取正号,容抗取负号,所以上式要加一负号。对于电容也是如此。
2、由低通到带通的频率变换
同理,(带通滤波器响应图略)设低通原型滤波器的频率变量为ω’,而带通滤波器的频率变量为ω ,由于ω’ = 0 的点,变换成ω =0和ω = ∞ 的点,故由低通到带通的变换式是

式中
是带通滤波器的相对带宽,ω0 =(ω1 ω2)^1/2 是通带中心频率,ω2是上边带频率,ω1是下边带频率。
3、由低通到带阻的频率变换
设低通原型滤波器的频率变量为ω’,而带阻滤波器的频率变量为ω,低通原型的ω’= 0 的点,变换成ω = 0 和ω = ∞ 的点,ω’ =∞的点则变换成ω =ω0 的点,故此由低通到带阻的变换式应是
知道了各种频率变换后就可以得出所需要的设计公式。

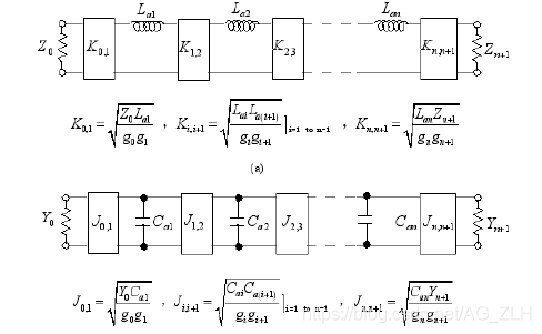
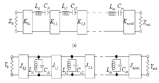
此为低通原型滤波器,应用频率变换式将其变为带通滤波器。即

由此得出
带通滤波器的阻抗变换器阻抗K为
来源:CSDN
作者:AG_ZLH
链接:https://blog.csdn.net/AG_ZLH/article/details/104443237