主成分分析是一种统计方法,通过正交变换将一组可能存在相关性的变量转换为一组线性不相关的变量,转换后的这组变量叫主成分。主成分分析法可以有效降低变量维数,降低解决问题的难度。
主成分分析以最少的信息丢失为前提,将众多的原有变量综合成较少的几个综合指标,通常综合指标(主成分)有以下几个特点:
1.主成分个数远远少于原有变量的个数;
2.主成分能够反映原有变量的绝大部分信息;
3.主成分之间应该互不相关;
一:步骤
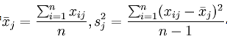
1.标准化处理:原始指标数据的标准化采集 p维随机向量x = (x1,x2,…,xp)T),n 个样品xi = (xi1,xi2,…,xip)T ,i=1,2,…,n n>p,构造样本阵,对样本阵元进行如下标准化变换:
计算样本平均值和样本方差,得到标准化阵Z。
2.对标准化阵Z求相关系数矩阵
其中,
3.解样本相关矩阵R的特征方程
得p个特征根,确定主成分
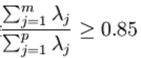
按照
确定m的值,使信息的利用率达85%以上,对每个λj, j=1,2,…,m, 解方程组Rb = λjb得单位特征向量
4.将标准化之后的指标变量转换成主成分
U1称为第一主成分,U2 称为第二主成分,…,Up 称为第p 主成分。
5.对m个主成分进行综合评价
对m个主成分进行加权求和,即可得最终评价值,权数为每个主成分的方差贡献率。
二:应用
主成分分析作为基础的数学分析方法,其实际应用十分广泛,比如人口统计学、数量地理学、分子动力学模拟、数学建模、数理分析等学科中均有应用,是一种常用的多变量分析方法。
三:代码实现
用matlab实现
运行结果:
来源:CSDN
作者:老王…
链接:https://blog.csdn.net/weixin_46338184/article/details/104442210