拓扑排序
借鉴
https://blog.csdn.net/qq_38984851/article/details/82844186
拓扑排序的实现步骤
1,在有向图中选一个没有前驱的顶点并且输出
2,从图中删除该顶点和所有以它为尾的弧(白话就是:删除所有和它有关的边)
3,重复上述两步,直至所有顶点输出,或者当前图中不存在无前驱的顶点为止,后者代表我们的有向图是有环的,因此,也可以通过拓扑排序来判断一个图是否有环。
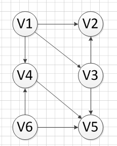
如果我们有如下的一个有向无环图,我们需要对这个图的顶点进行拓扑排序,下图:
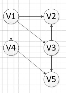
首先,我们发现V6和v1是没有前驱的,所以我们就随机选去一个输出,我们先输出V6,删除和V6有关的边,得到如下图结果:
然后,我们继续寻找没有前驱的顶点,发现V1没有前驱,所以输出V1,删除和V1有关的边,得到下图的结果:
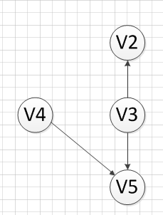
然后,我们又发现V4和V3都是没有前驱的,那么我们就随机选取一个顶点输出(具体看你实现的算法和图存储结构),我们输出V4,得到如下图结果:
然后,我们输出没有前驱的顶点V3,得到如下结果:
然后,我们分别输出V5和V2,最后全部顶点输出完成,该图的一个拓扑序列为:
v6–>v1—->v4—>v3—>v5—>v2
例题
http://acm.hdu.edu.cn/showproblem.php?pid=1285
完整代码
#include<stdio.h>
#include<string.h>
#include<stdlib.h>
int book[505][505],in[505];
int main()
{
int n,m;
while(~scanf("%d%d",&n,&m))
{
int i,j,k,s;
memset(book,0,sizeof(book));
memset(in,0,sizeof(in));
for(i=0; i<m; i++)
{
int x,y;
scanf("%d%d",&x,&y);
if(book[x][y]==0)
{
book[x][y]=1;
in[y]++;
}
}
for(i=1; i<=n; i++)
{
for(j=1; j<=n; j++)//从小到大
{
if(in[j]==0)
{
if(i!=n)//注意题目要求
printf("%d ",j);
else
printf("%d\n",j);
in[j]--;//度减
k=j;
break;
}
}
for(s=1; s<=n; s++)
{
if(book[k][s]==1)
{
book[k][s]=0;
in[s]--;//度减
}
}
}
}
return 0;
}
来源:CSDN
作者:HJKarry
链接:https://blog.csdn.net/m0_45983010/article/details/104396056