感谢伯禹教育、Datawhale组织的活动
一、线性回归
(1)模型
为了简单起见,这里我们假设价格只取决于房屋状况的两个因素,即面积(平方米)和房龄(年)。接下来我们希望探索价格与这两个因素的具体关系。线性回归假设输出与各个输入之间是线性关系:
(2)数据集
我们通常收集一系列的真实数据,例如多栋房屋的真实售出价格和它们对应的面积和房龄。我们希望在这个数据上面寻找模型参数来使模型的预测价格与真实价格的误差最小。在机器学习术语里,该数据集被称为训练数据集(training data set)或训练集(training set),一栋房屋被称为一个样本(sample),其真实售出价格叫作标签(label),用来预测标签的两个因素叫作特征(feature)。特征用来表征样本的特点。
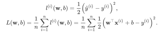
(3)损失函数
在模型训练中,我们需要衡量价格预测值与真实值之间的误差。通常我们会选取一个非负数作为误差,且数值越小表示误差越小。一个常用的选择是平方函数。 它在评估索引为i的样本误差的表达式为:
(4)优化函数 - 随机梯度下降
当模型和损失函数形式较为简单时,上面的误差最小化问题的解可以直接用公式表达出来。这类解叫作解析解(analytical solution)。本节使用的线性回归和平方误差刚好属于这个范畴。然而,大多数深度学习模型并没有解析解,只能通过优化算法有限次迭代模型参数来尽可能降低损失函数的值。这类解叫作数值解(numerical solution)。
在求数值解的优化算法中,小批量随机梯度下降(mini-batch stochastic gradient descent)在深度学习中被广泛使用。它的算法很简单:先选取一组模型参数的初始值,如随机选取;接下来对参数进行多次迭代,使每次迭代都可能降低损失函数的值。在每次迭代中,先随机均匀采样一个由固定数目训练数据样本所组成的小批量(mini-batch)
,然后求小批量中数据样本的平均损失有关模型参数的导数(梯度),最后用此结果与预先设定的一个正数的乘积作为模型参数在本次迭代的减小量。
总结一下,优化函数的有以下两个步骤:
(i)初始化模型参数,一般来说使用随机初始化;
(ii)我们在数据上迭代多次,通过在负梯度方向移动参数来更新每个参数。
(5)矢量计算
在模型训练或预测时,我们常常会同时处理多个数据样本并用到矢量计算。在介绍线性回归的矢量计算表达式之前,让我们先考虑对两个向量相加的两种方法。
向量相加的一种方法是,将这两个向量按元素逐一做标量加法。
向量相加的另一种方法是,将这两个向量直接做矢量加法。
二、Softmax与分类模型
(1)分类问题
一个简单的图像分类问题,输入图像的高和宽均为2像素,色彩为灰度。
图像中的4像素分别记为x1、x2、x3、x4。
假设真实标签为狗、猫或者鸡,这些标签对应的离散值为y1、y2、y3。
我们通常使用离散的数值来表示类别,例如y1=1、y2=2、y3=3。
(2)权重矢量
(3)神经网络图
下图用神经网络图描绘了上面的计算。softmax回归同线性回归一样,也是一个单层神经网络。由于每个输出o1、o2、o3的计算都要依赖于所有的输入x1、x2、x3、x4,softmax回归的输出层也是一个全连接层。
(4)输出问题
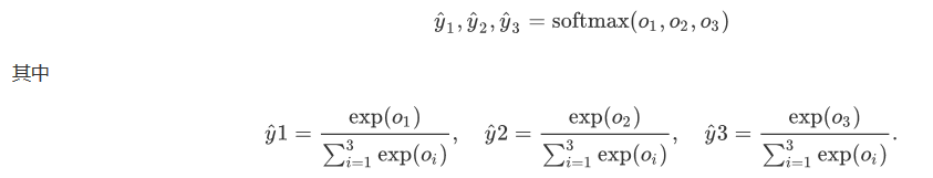
softmax运算符(softmax operator)解决了以上两个问题。它通过下式将输出值变换成值为正且和为1的概率分布:
三、多层感知机
(1)隐藏层
下图展示了一个多层感知机的神经网络图,它含有一个隐藏层,该层中有5个隐藏单元。
(2)表达公式
(3)激活函数
上述问题的根源在于全连接层只是对数据做仿射变换(affine transformation),而多个仿射变换的叠加仍然是一个仿射变换。解决问题的一个方法是引入非线性变换,例如对隐藏变量使用按元素运算的非线性函数进行变换,然后再作为下一个全连接层的输入。这个非线性函数被称为激活函数(activation function)。
四、文本预处理
文本是一类序列数据,一篇文章可以看作是字符或单词的序列,本节将介绍文本数据的常见预处理步骤,预处理通常包括四个步骤:
1、读入文本
2、分词
3、建立字典,将每个词映射到一个唯一的索引(index)
4、 将文本从词的序列转换为索引的序列,方便输入模型
五、语言模型
一段自然语言文本可以看作是一个离散时间序列,给定一个长度为T的词的序列w1、w2…wT,语言模型的目标就是评估该序列是否合理,即计算该序列的概率:
n元语法
六、循环神经网络基础
来源:CSDN
作者:许大博
链接:https://blog.csdn.net/weixin_44370085/article/details/104316595