错题本——数据结构(堆)

穿精又带淫゛_ 提交于 2020-02-15 05:38:11

下标从1开始,在含有n个关键字的小根堆(堆顶元素最小)中,关键字最大的记录有可能存储在( )的位置上
A [n/2]
B [n/2]-1
C 1
D [n/2]+2

解析:
小根堆中最大的数一定是放在叶子节点上,堆本身是个完全二叉树,完全二叉树的叶子节点的位置大于[n/2][n/2]

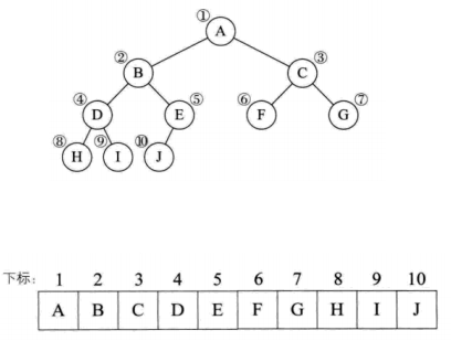
补充: 完全二叉树的顺序结构
对于一个完全二叉树,假设它有n个结点,对结点进行从1开始编号,对任一结点 i 满足下面:

  • 它的双亲是结点 i/2 (除了i=1的情况)
  • 左孩子是 2i 右孩子是 2i+1
  • 如果2i>n 说明无左孩子 2i+1>n 说明无右孩子
    如.
    在这里插入图片描述
易学教程内所有资源均来自网络或用户发布的内容,如有违反法律规定的内容欢迎反馈
该文章没有解决你所遇到的问题?点击提问,说说你的问题,让更多的人一起探讨吧!