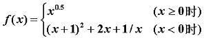
本题目要求计算下列分段函数f(x)的值:

注:可在头文件中包含math.h,并调用sqrt函数求平方根,调用pow函数求幂。
输入格式:
输入在一行中给出实数x。
输出格式:
在一行中按“f(x) = result”的格式输出,其中x与result都保留两位小数。
输入样例1:
10
输出样例1:
f(10.00) = 3.16
输入样例2:
0.5
输出样例2:
f(-0.50) = -2.75
#include<stdio.h>
#include<math.h>
int main()
{
double x, y;
scanf("%lf", &x);
if (x >= 0)
y = sqrt(x);
else
{
y = (x + 1) * (x + 1) + 2 * x + 1 / x;
}
printf("f(%.2lf) = %.2lf", x, y);
return 0;
}
来源:CSDN
作者:zZ12138.
链接:https://blog.csdn.net/weixin_45840152/article/details/104311132