1.线性回归
线性回归是回归问题中的一种,假设目标值与特征之间线性相关,即满足一个多元一次方程。通过构建损失函数,来求解损失函数最小时的参数w和b。公式:
y^为预测值,自变量x和因变量y是已知的,而我们想实现的是预测新增一个x,其对应的y是多少。因此,为了构建这个函数关系,目标是通过已知数据点,求解线性模型中w和b两个参数。
目标/损失函数
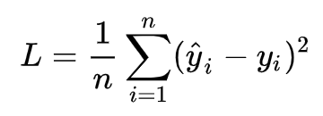
针对任何模型求解问题,都是最终都是可以得到一组预测值y^ ,对比已有的真实值 y ,数据行数为 n ,可以将损失函数定义如下
即预测值与真实值之间的平均的平方距离,统计中一般称其为MAE(mean square error)均方误差。把之前的函数式代入损失函数,并且将需要求解的参数w和b看做是函数L的自变量,可得
现在的任务是求解最小化L时w和b的值,
即核心目标优化式为
求解方式有两种:
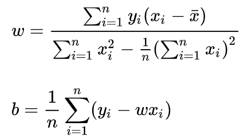
1)最小二乘法(least square method)
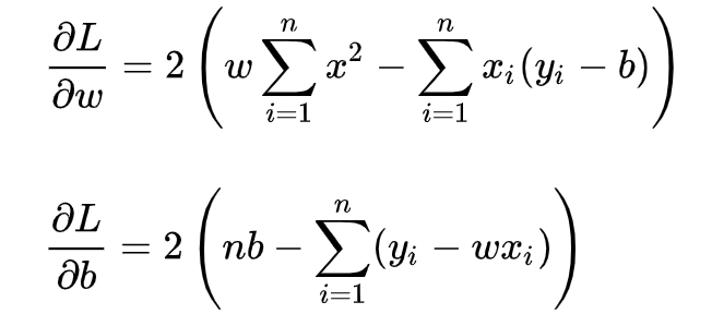
求解 w 和 b 是使损失函数最小化的过程,在统计中,称为线性回归模型的最小二乘“参数估计”(parameter estimation)。我们可以将 L(w,b) 分别对 w 和 b 求导,得到
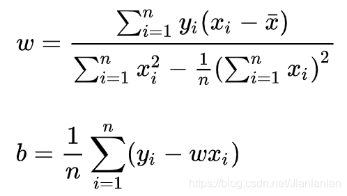
令上述两式为0,可得到 w 和 b 最优解的闭式(closed-form)解:

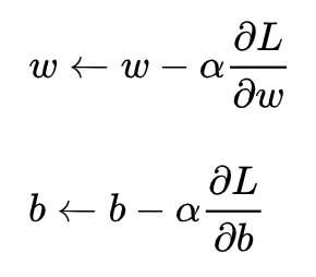
梯度下降(gradient descent)
梯度下降核心内容是对自变量进行不断的更新(针对w和b求偏导),使得目标函数不断逼近最小值的过程
二.softmax与分类模型
softmax函数,又称归一化指数函数。它是二分类函数sigmoid在多分类上的推广,目的是将多分类的结果以概率的形式展现出来softmax如何将多分类输出转换为概率,可以分为两步:
1)分子:通过指数函数,将实数输出映射到零到正无穷。
2)分母:将所有结果相加,进行归一化。
举例:家举一个例子,假如模型对一个三分类问题的预测结果为-3、1.5、2.7。我们要用softmax将模型结果转为概率。步骤如下:
1)将预测结果转化为非负数
y1 = exp(x1) = exp(-3) = 0.05
y2 = exp(x2) = exp(1.5) = 4.48
y3 = exp(x3) = exp(2.7) = 14.88
2)各种预测结果概率之和等于1
z1 = y1/(y1+y2+y3) = 0.05/(0.05+4.48+14.88) = 0.0026
z2 = y2/(y1+y2+y3) = 4.48/(0.05+4.48+14.88) = 0.2308
z3 = y3/(y1+y2+y3) = 14.88/(0.05+4.48+14.88) = 0.7666
三.多层感知机
多层感知机层与层之间是全连接的。多层感知机最底层是输入层,中间是隐藏层,最后是输出层。
隐藏层的神经元怎么得来?首先它与输入层是全连接的,假设输入层用向量X表示,则隐藏层的输出就是 f (W1X+b1),W1是权重(也叫连接系数),b1是偏置,函数f 可以是常用的sigmoid函数或者tanh函数:
注:神经网络中的Sigmoid型激活函数

来源:CSDN
作者:zimadan8908
链接:https://blog.csdn.net/zimadan8908/article/details/104320417