
通过第一幅图我们可以获得拟合数据的这样一条直线,但是,实际上这并不是一个很好的模型。此类情况称为欠拟合(underfitting),或者叫作叫做高偏差(bias)。
通过第二幅图,我们在中间加入一个二次项,也就是说对于这幅数据我们用二次函数去拟合。自然,可以拟合出一条曲线,事实也证明这个拟合效果很好。
通过第三幅图我们似乎对训练数据做了一个很好的拟合,因为这条曲线通过了所有的训练实例。但是,这实际上是一条很扭曲的曲线,它不停上下波动。因此,事实上我们并不认为它是一个好模型。这类情况叫做过拟合(overfitting),也叫高方差(variance)。
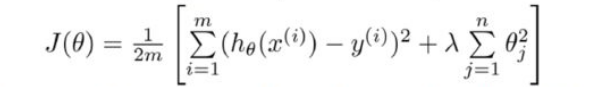
过度拟合的问题通常发生在变量(特征)过多的时候。这种情况下训练出的方程总是能很好的拟合训练数据,也就是说,我们的代价函数可能非常接近于 0 或者就为 0。过多的变量(特征),同时只有非常少的训练数据,会导致出现过度拟合的问题。因此为了解决过度拟合,有以下两个办法。方法一:尽量减少选取变量的数量;方法二:正则化。

如果我们的参数值对应一个较小值的话(参数值比较小),那么往往我们会得到一个形式更简单的假设。实际上,这些参数的值越小,通常对应于越光滑的函数,也就是更加简单的函数。因此 就不易发生过拟合的问题。
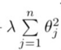
这项为正则化项。
并且 λ 在这里我们称做正则化参数。λ 要做的就是控制在两个不同的目标中的平衡关系。第一个目标就是我们想要训练,使假设更好地拟合训练数据。我们希望假设能够很好的适应训练集。而第二个目标是我们想要保持参数值较小(通过正则化项)。
来源:https://www.cnblogs.com/xpb0329/p/12309485.html