测绘行业基础计算的代码,废话不多说,先介绍下基本原理。
一 高斯正反算基本原理
1 高斯投影坐标正算
(1)高斯投影正算:已知椭球面上某点的大地坐标(B,L),求该点在高斯投影平面上的直
角坐标(X,Y),即(B,L)-->(X,Y)的坐标变换。
(2)投影变换必须满足的条件:
中央子午线投影后为直线;
中央子午线投影后长度不变;
投影具有正形性质,即正形投影条件。
(3)公式如下:

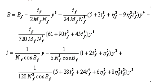
1 高斯投影坐标反算
(1)高斯投影反算:已知在高斯投影平面上的直
角坐标(X,Y),反求该点在椭球面上的大地坐标(B,L),即(X,Y)-->(B,L)的坐标变换。
(2)同正算一样,对投影函数提出三个条件:
x坐标轴投影成中央子午线,是投影的对称轴;
x轴上长度投影保持不变;
正形投影条件。
(3)反算公式

公式随手截的图,所以分辨率....
具体公式,学测绘的书上都有的
二 实现代码
其实这个小程序真要动手写起来难度不大,难的是算法原理的理解和公式中每个字母所代表的含义,以下是具体代码:
1 import tkinter
2 import tkinter.filedialog as fdg
3 import re
4 import math
5
6
7
8 """
9 =================> 用户UI界面相关 <==================
10 """
11 root = tkinter.Tk()
12 root.title('杨宇航-高斯正反算')
13 root.resizable(width=False, height=False)
14 root.geometry('500x700')
15
16
17
18
19 # # =============== 高斯正算UI界面 ==============
20 # # 文本坐标文件导入
21 label_wel_zheng = tkinter.Label(root,text='<高斯正算>',font=('黑体',16),fg='black')
22 label_wel_zheng.place(x=185, y=10)
23 label_open = tkinter.Label(root,text='1.请选择转化文件:',font=('黑体',10),fg='black')
24 label_open.place(x=5, y=40)
25 open_pth_Z = tkinter.Variable()
26 entry_open = tkinter.Entry(root,width=59,textvariable=open_pth_Z).place(x=70, y=70)
27 bot_open = tkinter.Button(root,width=8,height=1,text='导入文件',font=('黑体',9),fg='black',bg='orange',command=lambda :File_Open_Z())
28 bot_open.place(x=5,y=70)
29 # # 椭球选择
30 label_glo = tkinter.Label(root,text='2.请选择椭球(填入相应椭球代号):',font=('黑体',10),fg='black')
31 label_glo.place(x=5, y=100)
32 glo_Z = tkinter.Variable()
33 entry_glo = tkinter.Entry(root,textvariable=glo_Z).place(x=227,y=100)
34 label_gloa = tkinter.Label(root,text='A:克拉索夫斯基椭球',font=('黑体',12),fg='black')
35 label_gloa.place(x=5, y=125)
36 label_glob = tkinter.Label(root,text='B:WGS-84椭球',font=('黑体',12),fg='black')
37 label_glob.place(x=255, y=125)
38 label_gloc = tkinter.Label(root,text='C:CGCS-2000椭球',font=('黑体',12),fg='black')
39 label_gloc.place(x=5, y=155)
40 label_glod = tkinter.Label(root,text='D:IUGG-75椭球',font=('黑体',12),fg='black')
41 label_glod.place(x=255, y=155)
42 # # 投影带选择
43 label_num = tkinter.Label(root,text='3.请选择投影带(填入相应投影带代号):',font=('黑体',10),fg='black')
44 label_num.place(x=5, y=190)
45 num = tkinter.Variable()
46 entry_num = tkinter.Entry(root,textvariable=num).place(x=255,y=190)
47 label_num3 = tkinter.Label(root,text='A:三度带投影',font=('黑体',12),fg='black')
48 label_num3.place(x=5, y=220)
49 label_num6 = tkinter.Label(root,text='B:六度带投影',font=('黑体',12),fg='black')
50 label_num6.place(x=255, y=220)
51 # # 最终坐标文件保存
52 label_save = tkinter.Label(root,text='4.请选择转化结果输出路径:',font=('黑体',10),fg='black')
53 label_save.place(x=5,y=250)
54 save_pth_Z = tkinter.Variable()
55 entry_save = tkinter.Entry(root,width=59,textvariable=save_pth_Z).place(x=70, y=275)
56 bot_save = tkinter.Button(root,width=8,height=1,text='保存文件',font=('黑体',9),fg='black',bg='orange',command=lambda :File_Save_Z())
57 bot_save.place(x=5,y=275)
58 # # 定义开始转换按钮及其他内容
59 bot_start_Z = tkinter.Button(root,text='开始转化',font=('黑体',10),fg='white',bg='blue',command=lambda :Gaosi_Zheng())
60 bot_start_Z.place(x=210, y=310)
61 show1 = tkinter.Variable()
62 label_show = tkinter.Label(root,textvariable=show1).place(width=480,height=42,x=5,y=333)
63
64
65
66
67 # # =============== 高斯反算UI界面 ==============
68 # # 文本坐标文件导入
69 label_open = tkinter.Label(root,text='<高斯反算>',font=('黑体',16),fg='black')
70 label_open.place(x=185, y=380)
71 label_open = tkinter.Label(root,text='1.请选择转化文件:',font=('黑体',10),fg='black')
72 label_open.place(x=5, y=410)
73 open_pth_F = tkinter.Variable()
74 entry_open = tkinter.Entry(root,width=50,textvariable=open_pth_F).place(x=70, y=440)
75 bot_open = tkinter.Button(root,width=8,height=1,text='导入文件',font=('黑体',9),fg='black',bg='orange',command=lambda :File_Open_F())
76 bot_open.place(x=5,y=440)
77 # # 椭球选择
78 label_glo = tkinter.Label(root,text='2.请选择椭球(填入相应椭球代号):',font=('黑体',10),fg='black')
79 label_glo.place(x=5, y=470)
80 glo_F = tkinter.Variable()
81 entry_glo = tkinter.Entry(root,textvariable=glo_F).place(x=227,y=470)
82 label_gloa = tkinter.Label(root,text='A:克拉索夫斯基椭球',font=('黑体',12),fg='black')
83 label_gloa.place(x=5, y=495)
84 label_glob = tkinter.Label(root,text='B:WGS-84椭球',font=('黑体',12),fg='black')
85 label_glob.place(x=255, y=495)
86 label_gloc = tkinter.Label(root,text='C:CGCS-2000椭球',font=('黑体',12),fg='black')
87 label_gloc.place(x=5, y=525)
88 label_glod = tkinter.Label(root,text='D:1975国际椭球',font=('黑体',12),fg='black')
89 label_glod.place(x=255, y=525)
90 # # 最终坐标文件保存
91 label_num = tkinter.Label(root,text='3.请选择文件输出路径:',font=('黑体',10),fg='black')
92 label_num.place(x=5, y=560)
93 save_pth_F = tkinter.Variable()
94 entry_save = tkinter.Entry(root,width=59,textvariable=save_pth_F).place(x=70,y=590)
95 bot_save = tkinter.Button(root,width=8,height=1,text='保存文件',font=('黑体',9),fg='black',bg='orange',command=lambda :File_Save_F())
96 bot_save.place(x=5,y=590)
97 # # 定义开始转换按钮及其他内容
98 bot_start = tkinter.Button(root,text='开始转换',font=('黑体',10),fg='white',bg='blue',command=lambda :Gaosi_Fan())
99 bot_start.place(x=210, y=620)
100 show2 = tkinter.Variable()
101 label_show = tkinter.Label(root,textvariable=show2).place(width=480,height=42,x=5,y=665)
102
103
104
105
106 """
107 =====================> 操作函数相关 <======================
108 """
109
110 # # 坐标文件显示函数
111 def File_Open_Z():
112 file_open_name = fdg.askopenfilename()
113 open_pth_Z.set(file_open_name)
114 def File_Open_F():
115 file_open_name = fdg.askopenfilename()
116 open_pth_F.set(file_open_name)
117
118 # # 椭球选择函数
119 def Ch_Glob_Z():
120 s = glo_Z.get()
121 if s == 'A':
122 a = 6378245
123 e2 = 0.006693421622966
124 e_2 = 0.006738525414683
125 elif s == 'B':
126 a = 6378137
127 e2 = 0.00669437999013
128 e_2 = 0.00673949674227
129 elif s == 'C':
130 a = 6378137
131 e2 = 0.00669438002290
132 e_2 = 0.00673949677548
133 elif s == 'D':
134 a = 6378140
135 e2 = 0.006694384999588
136 e_2 = 0.006739501219473
137 return [a, e2, e_2]
138
139 def Ch_Glob_F():
140 s = glo_F.get()
141 if s == 'A':
142 a = 6378245
143 e2 = 0.006693421622966
144 e_2 = 0.006738525414683
145 elif s == 'B':
146 a = 6378137
147 e2 = 0.00669437999013
148 e_2 = 0.00673949674227
149 elif s == 'C':
150 a = 6378137
151 e2 = 0.00669438002290
152 e_2 = 0.00673949677548
153 elif s == 'D':
154 a = 6378140
155 e2 = 0.006694384999588
156 e_2 = 0.006739501219473
157 return [a, e2, e_2]
158
159
160 # # 高斯正算主函数
161 def Gaosi_Zheng():
162 with open(open_pth_Z.get(), 'r', encoding='utf-8') as f_open:
163 STR_LI = f_open.readlines() # 最初数据读入列表
164 for i in STR_LI:
165 INT_list = list(eval(i))
166 L1 = INT_list[0]
167 B1 = INT_list[1]
168 # 投影带选择get
169 nnn = num.get()
170 if nnn == 'A':
171 n = int(L1 / 3)
172 l = math.radians(L1 - n * 3)
173 L, B = math.radians(L1), math.radians(B1)
174 TUP = Ch_Glob_Z()
175 a = TUP[0]
176 e2 = TUP[1]
177 e_2 = TUP[2]
178 elif nnn == 'B':
179 n = int(L1 / 6) + 1
180 l0 = 6 * n - 3
181 l = math.radians(L1 - l0)
182 L, B = math.radians(L1), math.radians(B1)
183 TUP = Ch_Glob_Z()
184 a = TUP[0]
185 e2 = TUP[1]
186 e_2 = TUP[2]
187 t = math.tan(B)
188 q = e_2 * (math.cos(B) ** 2)
189 # 高斯正算函数主体
190 # 计算X
191 m0 = a * (1 - e2)
192 m2 = (3 / 2) * e2 * m0
193 m4 = (5 / 4) * e2 * m2
194 m6 = (7 / 6) * e2 * m4
195 m8 = (9 / 8) * e2 * m6
196 a0 = m0 + (1 / 2) * m2 + (3 / 8) * m4 + (5 / 16) * m6 + (35 / 128) * m8
197 a2 = (1 / 2) * m2 + (1 / 2) * m4 + (15 / 32) * m6 + (7 / 16) * m8
198 a4 = (1 / 8) * m4 + (3 / 16) * m6 + (7 / 32) * m8
199 a6 = (1 / 32) * m6 + (1 / 16) * m8
200 a8 = (1 / 128) * m8
201 X1 = a0 * B - (1 / 2) * a2 * (math.sin(2 * B)) + (1 / 4) * a4 * (math.sin(4 * B)) - (1 / 6) * a6 * (
202 math.sin(6 * B)) + (1 / 8) * a8 * (math.sin(8 * B))
203
204 N = a / (math.sqrt(1 - e2*(math.sin(B)**2)))
205 X2 = (1 / 2) * N * math.sin(B) * math.cos(B) * (l ** 2)
206 X3 = (1 / 24) * N * (math.sin(B)) * (math.cos(B) ** 3) * (5 - t ** 2 + 9 * q + 4 * (q ** 2)) * (l ** 4)
207 X4 = (1 / 720) * N * (math.sin(B)) * (math.cos(B) ** 5) * (61 - 58 * t ** 2 + t ** 4) * (l ** 6)
208 X = (X1 + X2 + X3 + X4) # X坐标通用值
209 X = round(X, 5)
210 Y1 = N * (math.cos(B)) * l
211 Y2 = (1 / 6) * N * (math.cos(B) ** 3) * (1 - t ** 2 + q) * (l ** 3)
212 Y3 = (1 / 120) * N * (math.cos(B) ** 5) * (5 - 18 * t ** 2 + t ** 4 + 14 * q - 58 * q * t ** 2) * (l ** 5)
213 Y = (Y1 + Y2 + Y3) + 500000 + (n * 1000000) # Y坐标通用值
214 Y = round(Y, 5)
215 Q = str((X, Y))
216 with open(save_pth_Z.get(),'a',encoding='utf-8') as f_save: # 将转换成功的坐标文件存入用户所选路径
217 f_save.write(Q + ',')
218 show1.set('坐标转化成功!')
219
220 # # 高斯反算主函数
221 def Gaosi_Fan():
222 with open(open_pth_F.get(), 'r', encoding='utf-8') as f:
223 ff = f.readlines()
224 a = eval(ff[0])
225 for i in a:
226 X = i[0] # X 为 float 类型
227 st = str(i[1])
228 n = eval(re.findall('^..', st)[0])
229 Y = i[1] - n*1000000 - 500000
230 # 根据椭球选择相应的 a,e2,e_2
231 TUP = Ch_Glob_F()
232 a = TUP[0]
233 e2 = TUP[1]
234 e_2 = TUP[2]
235 m0 = a * (1 - e2)
236 m2 = (3 / 2) * e2 * m0
237 m4 = (5 / 4) * e2 * m2
238 m6 = (7 / 6) * e2 * m4
239 m8 = (9 / 8) * e2 * m6
240 a0 = m0 + (1 / 2) * m2 + (3 / 8) * m4 + (5 / 16) * m6 + (35 / 128) * m8
241 a2 = (1 / 2) * m2 + (1 / 2) * m4 + (15 / 32) * m6 + (7 / 16) * m8
242 a4 = (1 / 8) * m4 + (3 / 16) * m6 + (7 / 32) * m8
243 a6 = (1 / 32) * m6 + (1 / 16) * m8
244 a8 = (1 / 128) * m8
245 # 计算底点纬度 Bf
246 Bfi1 = X / a0
247 for i in range(100):
248 Bfi = Bfi1
249 FBi = -(a2 / 2) * math.sin(2 * Bfi) + (a4 / 4) * math.sin(4 * Bfi) - (a6 / 6) * math.sin(6 * Bfi)
250 Bfi1 = (X - FBi) / a0
251 if Bfi1 - Bfi < 0.00000000001:
252 Bf = Bfi1
253 # 定义其他量 Nf, Mf, qf, tf
254 Nf = a / (math.sqrt(1 - e2*(math.sin(Bf)**2)))
255 Mf = (a*(1-e2)) / math.sqrt((1-e2*(math.sin(Bf)**2))**3)
256 tf = math.tan(Bf)
257 qf = e_2 * (math.cos(Bf))**2
258 # 纬度值 B
259 B1 = tf * (Y**2) / (2*Mf*Nf)
260 B2 = tf * (5+3*(tf**2)+(qf**2)-9*(qf**2)*(tf**2)) * (Y**4) / (24*Mf*(Nf**3))
261 B3 = tf * (61+90*(tf**2)+45*(tf**4)) * (Y**6) / (720*Mf*(Nf**5))
262 BB = Bf - B1 + B2 - B3
263 BB = math.degrees(BB) + 0.000001
264 B = round(BB,5)
265 # 经度值 L
266 L0 = 0
267 L1 = Y / (Nf*math.cos(Bf))
268 L2 = ((1+2*(tf**2)+qf**2)*(Y**3)) / (6*(Nf**3)*math.cos(Bf))
269 L3 = (5+28*(tf**2)+24*(tf**4)*(Y**5)) / (120*(Nf**5)*math.cos(Bf))
270 if n >= 12 and n <= 23:
271 L0 = math.radians(6)*n - math.radians(3)
272 if n >= 24 and n <= 45:
273 L0 = math.radians(3)*n
274 LL = L0 + L1 - L2 + L3
275 LL = math.degrees(LL) + 0.000001
276 L = round(LL,5)
277 A = (L, B)
278 END = str(A)
279 with open(save_pth_F.get(), 'a', encoding='utf-8') as f_save:
280 f_save.write(END + ',')
281 show2.set('坐标转化成功!')
282
283
284 # 最终计算结果输出函数
285 def File_Save_Z():
286 file_save_name = fdg.asksaveasfilename(
287 defaultextension = '.txt', # 默认后缀名
288 filetypes = [('文本文件类型','*.txt'), # 下拉文件类型
289 ('其他类型','*.*')],
290 initialdir = 'C:\\Users\\Desktop', # 默认打开路径
291 initialfile = 'text', # 默认文件保存名
292 title = '文件另存为'
293 )
294 save_pth_Z.set(file_save_name)
295
296 def File_Save_F():
297 file_save_name = fdg.asksaveasfilename(
298 defaultextension = '.txt', # 默认后缀名
299 filetypes = [('文本文件类型','*.txt'), # 下拉文件类型
300 ('其他类型','*.*')],
301 initialdir = 'C:\\Users\\Desktop', # 默认打开路径
302 initialfile = 'text', # 默认文件保存名
303 title = '文件另存为'
304 )
305 save_pth_F.set(file_save_name)
306
307
308
309 root.mainloop()
来源:https://www.cnblogs.com/skygrass0531/p/12298307.html