Leetcode160.相交链表(C语言)
数据结构-链表:算法与数据结构参考
题目:
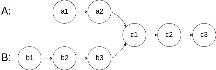
例如以下示例中 A 和 B 两个链表相交于 c1:
若存在则返回c1,如果不存在交点则返回 null。
要求时间复杂度为 O(N),空间复杂度为 O(1)。
思路:
使得A,B两个链表剩下的长度相同,再进行逐个比较找出交点。
A,B各自长度未知,重点在于长度的处理
代码:
/**
* Definition for singly-linked list.
* struct ListNode {
* int val;
* struct ListNode *next;
* };
*/
struct ListNode *getIntersectionNode(struct ListNode *headA, struct ListNode *headB) {
if(headA==NULL || headB==NULL) return NULL;
int lena,lenb;
struct ListNode *p=headA;
struct ListNode *q=headB;
for(lena=0;p=p->next;lena++);
for(lenb=0;q=q->next;lenb++);
int diff=lena-lenb; //计算两个链表的长度差
while(diff>0){
headA=headA->next;
diff--;
}
while(diff<0){
headB=headB->next;
diff++;
} //定位两个链表的节点,使余下链表长度相等
while(headA!=headB){
headA=headA->next;
headB=headB->next;
}
return headA;
}
来源:CSDN
作者:jeanlu
链接:https://blog.csdn.net/jeanlu/article/details/104245447