1. 深度优先
depth first search,DFS
可以使用先序遍历来实现
递归版
//先序遍历
public void PreOrder(BinaryTreeNode node){
if(node!=null){
System.out.println(node.getData()); //先访问根节点
PreOrder(node.getLeftChild()); //先根遍历左子树
PreOrder(node.getRightChild()); //先根遍历右子树
}
}
非递归版(使用栈实现)
public ArrayList<Integer> DfsTree(TreeNode root) {
ArrayList<Integer> lists = new ArrayList<I>();
if(root == null)
return lists;
Stack<TreeNode> stack = new Stack<>();
stack.push(root);
while(!stack.isEmpty()){
TreeNode tree = stack.pop();
//先往栈中压入右节点,再压左节点,出栈就是先左节点后出右节点了(先序遍历推广)。
if(tree.right != null)
stack.push(tree.right);
if(tree.left != null)
stack.push(tree.left);
lists.add(tree.val);
}
return lists;
}
广度优先
BFS使用队列实现
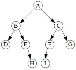
广度优先搜索基本操作是和深度优先差不多的,只不过这里是通过队列来实现的,找到一个起点A,并将A相邻的点放入队列中,这时将队首元素B取出,并将B相邻且没有访问过的点放入队列中,不断重复这个操作,直至队列清空,这个时候依次访问的顶点就是遍历的顺序。
广度优先遍历树,需要用到队列(Queue)来存储节点对象,队列的特点就是先进先出。先往队列中插入左节点,再插入右节点,队列出队就是先出左节点,再出右节点。
首先将A节点插入队列中,队列中有元素(A);
将A节点弹出,同时将A节点的左节点B、右节点C依次插入队列,B在队首,C在队尾,(B,C),此时得到A节点;
将队首元素B弹出,并将B的左节点D、右节点E插入队列,C在队首,E在队尾(C,D,E),此时得到B节点;
再将队首元素C弹出,并将C节点的左节点F,右节点G依次插入队列,(D,E,F,G),此时得到C节点;
将D弹出,此时D没有子节点,队列中元素为(E,F,G),得到D节点;
。。。以此类推。最终的遍历结果为:A,B,C,D,E,F,G,H,I。
public ArrayList<Integer> BfsTree(TreeNode root) {
ArrayList<Integer> lists = new ArrayList<>();
if(root == null)
return lists;
Queue<TreeNode> queue = new LinkedList<>();
queue.offer(root);
while(!queue.isEmpty()){
TreeNode tree = queue.poll();
if(tree.left != null)
queue.offer(tree.left);
if(tree.right != null)
queue.offer(tree.right);
lists.add(tree.val);
}
return lists;
}
来源:CSDN
作者:今天又学java了
链接:https://blog.csdn.net/weixin_43907800/article/details/104220757