题目描述
编写一个程序,找到两个单链表相交的起始节点。
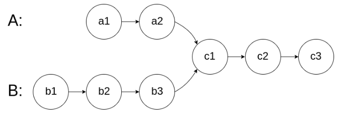
如下面的两个链表:
在节点 c1 开始相交。
示例1:
示例2:
示例3:
注意:
1、如果两个链表没有交点,返回 null。
2、在返回结果后,两个链表仍须保持原有的结构。
3、可假定整个链表结构中没有循环。
4、程序尽量满足 O(n) 时间复杂度,且仅用 O(1) 内存。
完整代码
/**
* Definition for singly-linked list.
* struct ListNode {
* int val;
* struct ListNode *next;
* };
*/
struct ListNode *getIntersectionNode(struct ListNode *headA, struct ListNode *headB) {
int lenA = 0;
int lenB = 0;
struct ListNode* curA = headA;
struct ListNode* curB = headB;
while(curA && curA->next != NULL)
{
lenA++;
curA = curA->next;
}
while(curB && curB->next != NULL)
{
lenB++;
curB = curB->next;
}
if(curA != curB)
{
return NULL;
}
else
{
int gap = abs(lenA-lenB);
struct ListNode *longlist = headA;
struct ListNode *shortlist = headB;
if(lenB > lenA)
{
longlist = headB;
shortlist = headA;
}
while(gap--)
{
longlist = longlist->next;
}
while(1)
{
if(longlist == shortlist)
{
return longlist;
}
else
{
longlist = longlist->next;
shortlist = shortlist->next;
}
}
}
}
来源:CSDN
作者:ZD_012
链接:https://blog.csdn.net/ZD_012/article/details/104212732