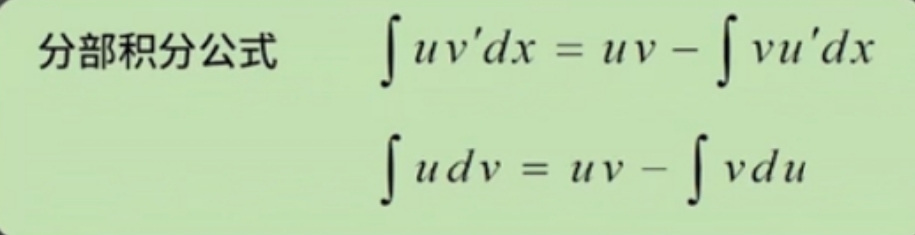
分部积分公式如下:
做题时要根据情况选择适合的公式,关键是正确的选择u,选u的原则如下:
(1)如果被积函数是两个基本初等函数的乘积,则按照“反三角、对数、幂、三角、指数”的顺序,把排在前面的设为u(即将更复杂的函数设为u)--------用第一条公式
(2)如果被积函数只有一项,而该项是对数或反三角,则也用分部积分,此时设u是对数或反三角,则v=x--------用第二条公式
--------------------------------------------------------------------分割线
题目中被积函数只有一项,且为反三角函数,所以采用分部积分法中的第二条公式。
设u=arctanx, v=x ,得:
-----------------------------------------------------------------------分割线

题目中被积函数只有一项,所以采用分部积分法中的第二条公式。
为了将式子变得更简单
来源:CSDN
作者:Jtooo
链接:https://blog.csdn.net/Jtooo/article/details/104213771