斐波那契数列
题目描述
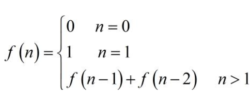
写一个函数,输入n,求斐波那契数列的第n项。斐波那契数列的定义如下:
思路分析
解法一:根据斐波那契数列的定义方程式写出最直观的递归。效率较低,存在很多重复计算。代码如下:
public int Fibonacci(int n) {
if(n==0)return 0;
if(n==1)return 1;
return Fibonacci(n-1)+Fibonacci(n-2);
}
解法二:为解决解法一的重复计算,可以把已经计算出来的数列中间项保存起来,用于下一次计算。代码如下:
public int Fibonacci(int n) {
if(n==0)return 0;
if(n==1)return 1;
int first=0,second=1,FibN=0;
for(int i=2;i<=n;i++){
FibN=first+second;
first=second;
second=FibN;
}
return FibN;
}
来源:CSDN
作者:凉薄慕人
链接:https://blog.csdn.net/qq_39018723/article/details/104195960