万门大学数据结构与算法进阶(1)介绍

◇◆丶佛笑我妖孽 提交于 2020-02-07 02:03:48

课程安排

在这里插入图片描述

算法分析

运行时间(时间复杂度)

在这里插入图片描述在这里插入图片描述

评估算法运行时间

在这里插入图片描述

近似记法

  • big - o :上界
  • big - θ :上下界
  • big - Ω:下界

主项定理

P与NP

  • Polynomial 多项式类问题
    在这里插入图片描述

  • Non-Deterministic Polynomial 非确定多项式问题

在这里插入图片描述

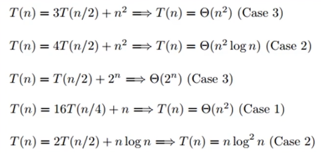
主定理

在这里插入图片描述在这里插入图片描述

易学教程内所有资源均来自网络或用户发布的内容,如有违反法律规定的内容欢迎反馈
该文章没有解决你所遇到的问题?点击提问,说说你的问题,让更多的人一起探讨吧!