https://www.intel.ai/demystifying-deep-reinforcement-learning/#gs.w3pn15
Two years ago, a small company in London called DeepMind uploaded their pioneering paper “Playing Atari with Deep Reinforcement Learning” to Arxiv. In this paper they demonstrated how a computer learned to play Atari 2600 video games by observing just the screen pixels and receiving a reward when the game score increased. The result was remarkable, because the games and the goals in every game were very different and designed to be challenging for humans. The same model architecture, without any change, was used to learn seven different games, and in three of them the algorithm performed even better than a human!
It has been hailed since then as the first step towards general artificial intelligence – an AI that can survive in a variety of environments, instead of being confined to strict realms such as playing chess. No wonder DeepMind was immediately bought by Google and has been on the forefront of deep learning research ever since. In February 2015 their paper “Human-level control through deep reinforcement learning” was featured on the cover of Nature, one of the most prestigious journals in science. In this paper they applied the same model to 49 different games and achieved superhuman performance in half of them.
Still, while deep models for supervised and unsupervised learning have seen widespread adoption in the community, deep reinforcement learning has remained a bit of a mystery. In this blog post I will be trying to demystify this technique and understand the rationale behind it. The intended audience is someone who already has background in machine learning and possibly in neural networks, but hasn’t had time to delve into reinforcement learning yet.
The roadmap ahead:
- What are the main challenges in reinforcement learning? We will cover the credit assignment problem and the exploration-exploitation dilemma here.
- How to formalize reinforcement learning in mathematical terms? We will define Markov Decision Process and use it for reasoning about reinforcement learning.
- How do we form long-term strategies? We define “discounted future reward”, that forms the main basis for the algorithms in the next sections.
- How can we estimate or approximate the future reward? Simple table-based Q-learning algorithm is defined and explained here.
- What if our state space is too big? Here we see how Q-table can be replaced with a (deep) neural network.
- What do we need to make it actually work? Experience replay technique will be discussed here, that stabilizes the learning with neural networks.
- Are we done yet? Finally we will consider some simple solutions to the exploration-exploitation problem.
Reinforcement Learning
Consider the game Breakout. In this game you control a paddle at the bottom of the screen and have to bounce the ball back to clear all the bricks in the upper half of the screen. Each time you hit a brick, it disappears and your score increases – you get a reward.

Figure 1: Atari Breakout game. Image credit: DeepMind.
Suppose you want to teach a neural network to play this game. Input to your network would be screen images, and output would be three actions: left, right or fire (to launch the ball). It would make sense to treat it as a classification problem – for each game screen you have to decide, whether you should move left, right or press fire. Sounds straightforward? Sure, but then you need training examples, and a lots of them. Of course you could go and record game sessions using expert players, but that’s not really how we learn. We don’t need somebody to tell us a million times which move to choose at each screen. We just need occasional feedback that we did the right thing and can then figure out everything else ourselves.
This is the task reinforcement learning tries to solve. Reinforcement learning lies somewhere in between supervised and unsupervised learning. Whereas in supervised learning one has a target label for each training example and in unsupervised learning one has no labels at all, in reinforcement learning one has sparse and time-delayed labels – the rewards. Based only on those rewards the agent has to learn to behave in the environment.
While the idea is quite intuitive, in practice there are numerous challenges. For example when you hit a brick and score a reward in the Breakout game, it often has nothing to do with the actions (paddle movements) you did just before getting the reward. All the hard work was already done, when you positioned the paddle correctly and bounced the ball back. This is called the credit assignment problem – i.e., which of the preceding actions was responsible for getting the reward and to what extent.
Once you have figured out a strategy to collect a certain number of rewards, should you stick with it or experiment with something that could result in even bigger rewards? In the above Breakout game a simple strategy is to move to the left edge and wait there. When launched, the ball tends to fly left more often than right and you will easily score about 10 points before you die. Will you be satisfied with this or do you want more? This is called the explore-exploit dilemma – should you exploit the known working strategy or explore other, possibly better strategies.
Reinforcement learning is an important model of how we (and all animals in general) learn. Praise from our parents, grades in school, salary at work – these are all examples of rewards. Credit assignment problems and exploration-exploitation dilemmas come up every day both in business and in relationships. That’s why it is important to study this problem, and games form a wonderful sandbox for trying out new approaches.
Markov Decision Process
Now the question is, how do you formalize a reinforcement learning problem, so that you can reason about it? The most common method is to represent it as a Markov decision process.
Suppose you are an agent, situated in an environment (e.g. Breakout game). The environment is in a certain state (e.g. location of the paddle, location and direction of the ball, existence of every brick and so on). The agent can perform certain actions in the environment (e.g. move the paddle to the left or to the right). These actions sometimes result in a reward (e.g. increase in score). Actions transform the environment and lead to a new state, where the agent can perform another action, and so on. The rules for how you choose those actions are called policy. The environment in general is stochastic, which means the next state may be somewhat random (e.g. when you lose a ball and launch a new one, it goes towards a random direction).

The set of states and actions, together with rules for transitioning from one state to another, make up a Markov decision process. One episode of this process (e.g. one game) forms a finite sequence of states, actions and rewards:

Here si represents the state, ai is the action and ri+1 is the reward after performing the action. The episode ends with terminal state sn (e.g. “game over” screen). A Markov decision process relies on the Markov assumption, that the probability of the next state si+1 depends only on current state si and action ai, but not on preceding states or actions.
Discounted Future Reward
To perform well in the long-term, we need to take into account not only the immediate rewards, but also the future rewards we are going to get. How should we go about that?
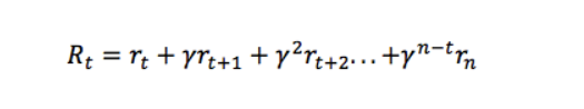
Given one run of the Markov decision process, we can easily calculate the total reward for one episode:

Given that, the total future reward from time point t onward can be expressed as:

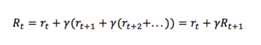
But because our environment is stochastic, we can never be sure, if we will get the same rewards the next time we perform the same actions. The more into the future we go, the more it may diverge. For that reason it is common to use discounted future reward instead:

Here γ is the discount factor between 0 and 1 – the more into the future the reward is, the less we take it into consideration. It is easy to see, that discounted future reward at time step t can be expressed in terms of the same thing at time step t+1:

If we set the discount factor γ=0, then our strategy will be short-sighted and we rely only on the immediate rewards. If we want to balance between immediate and future rewards, we should set discount factor to something like γ=0.9. If our environment is deterministic and the same actions always result in same rewards, then we can set discount factor γ=1.
A good strategy for an agent would be to always choose an action that maximizes the (discounted) future reward.
Q-learning
In Q-learning we define a function Q(s, a) representing the maximum discounted future reward when we perform action a in state s, and continue optimally from that point on.

The way to think about Q(s, a) is that it is “the best possible score at the end of the game after performing action a in state s“. It is called Q-function, because it represents the “quality” of a certain action in a given state.
This may sound like quite a puzzling definition. How can we estimate the score at the end of game, if we know just the current state and action, and not the actions and rewards coming after that? We really can’t. But as a theoretical construct we can assume existence of such a function. Just close your eyes and repeat to yourself five times: “Q(s, a) exists, Q(s, a) exists, …”. Feel it?
If you’re still not convinced, then consider what the implications of having such a function would be. Suppose you are in state and pondering whether you should take action a or b. You want to select the action that results in the highest score at the end of game. Once you have the magical Q-function, the answer becomes really simple – pick the action with the highest Q-value!

The maxa’ Q[s’,a’] that we use to update Q[s,a] is only an approximation and in early stages of learning it may be completely wrong. However the approximation get more and more accurate with every iteration and it has been shown, that if we perform this update enough times, then the Q-function will converge and represent the true Q-value.
Deep Q Network
The state of the environment in the Breakout game can be defined by the location of the paddle, location and direction of the ball and the presence or absence of each individual brick. This intuitive representation however is game specific. Could we come up with something more universal, that would be suitable for all the games? The obvious choice is screen pixels – they implicitly contain all of the relevant information about the game situation, except for the speed and direction of the ball. Two consecutive screens would have these covered as well.
If we apply the same preprocessing to game screens as in the DeepMind paper – take the four last screen images, resize them to 84×84 and convert to grayscale with 256 gray levels – we would have 25684x84x4 ≈ 1067970 possible game states. This means 1067970 rows in our imaginary Q-table – more than the number of atoms in the known universe! One could argue that many pixel combinations (and therefore states) never occur – we could possibly represent it as a sparse table containing only visited states. Even so, most of the states are very rarely visited and it would take a lifetime of the universe for the Q-table to converge. Ideally, we would also like to have a good guess for Q-values for states we have never seen before.
This is the point where deep learning steps in. Neural networks are exceptionally good at coming up with good features for highly structured data. We could represent our Q-function with a neural network, that takes the state (four game screens) and action as input and outputs the corresponding Q-value. Alternatively we could take only game screens as input and output the Q-value for each possible action. This approach has the advantage, that if we want to perform a Q-value update or pick the action with the highest Q-value, we only have to do one forward pass through the network and have all Q-values for all actions available immediately.

3. Set Q-value target for action to r + γmax a’ Q(s’, a’) (use the max calculated in step 2). For all other actions, set the Q-value target to the same as originally returned from step 1, making the error 0 for those outputs.
4. Update the weights using backpropagation.
Experience Replay
By now we have an idea how to estimate the future reward in each state using Q-learning and approximate the Q-function using a convolutional neural network. But it turns out that approximation of Q-values using non-linear functions is not very stable. There is a whole bag of tricks that you have to use to actually make it converge. And it takes a long time, almost a week on a single GPU.
The most important trick is experience replay. During gameplay all the experiences < s, a, r, s’ > are stored in a replay memory. When training the network, random minibatches from the replay memory are used instead of the most recent transition. This breaks the similarity of subsequent training samples, which otherwise might drive the network into a local minimum. Also experience replay makes the training task more similar to usual supervised learning, which simplifies debugging and testing the algorithm. One could actually collect all those experiences from human gameplay and then train network on these.
Exploration-Exploitation
Q-learning attempts to solve the credit assignment problem – it propagates rewards back in time, until it reaches the crucial decision point which was the actual cause for the obtained reward. But we haven’t touched the exploration-exploitation dilemma yet…
Firstly observe, that when a Q-table or Q-network is initialized randomly, then its predictions are initially random as well. If we pick an action with the highest Q-value, the action will be random and the agent performs crude “exploration”. As a Q-function converges, it returns more consistent Q-values and the amount of exploration decreases. So one could say, that Q-learning incorporates the exploration as part of the algorithm. But this exploration is “greedy”, it settles with the first effective strategy it finds.
A simple and effective fix for the above problem is ε-greedy exploration – with probability ε choose a random action, otherwise go with the “greedy” action with the highest Q-value. In their system DeepMind actually decreases ε over time from 1 to 0.1 – in the beginning the system makes completely random moves to explore the state space maximally, and then it settles down to a fixed exploration rate.
Deep Q-learning Algorithm
This gives us the final deep Q-learning algorithm with experience replay:

The most amazing part of this algorithm is that it learns anything at all. Just think about it – because our Q-function is initialized randomly, it initially outputs complete garbage. And we are using this garbage (the maximum Q-value of the next state) as targets for the network, only occasionally folding in a tiny reward. That sounds insane, how could it learn anything meaningful at all? The fact is, that it does.
Final notes
Many improvements to deep Q-learning have been proposed since its first introduction – Double Q-learning, Prioritized Experience Replay, Dueling Network Architecture and extension to continuous action space to name a few. For latest advancements check out the NIPS 2015 deep reinforcement learning workshop and ICLR 2016 (search for “reinforcement” in title). But beware, that deep Q-learning has been patented by Google.
It is often said, that artificial intelligence is something we haven’t figured out yet. Once we know how it works, it doesn’t seem intelligent any more. But deep Q-networks still continue to amaze me. Watching them figure out a new game is like observing an animal in the wild – a rewarding experience by itself.
Credits
Thanks to Ardi Tampuu, Tanel Pärnamaa, Jaan Aru, Ilya Kuzovkin, Arjun Bansal and Urs Köster for comments and suggestions on the drafts of this post.
Links
- David Silver’s lecture about deep reinforcement learning
- Slightly awkward but accessible illustration of Q-learning
- UC Berkley’s course on deep reinforcement learning
- David Silver’s reinforcement learning course
- Nando de Freitas’ course on machine learning (two lectures about reinforcement learning in the end)
- Andrej Karpathy’s course on convolutional neural networks
[1] Algorithm adapted from http://artint.info/html/ArtInt_265.html
This blog was first published at: http://neuro.cs.ut.ee/demystifying-deep-reinforcement-learning/
This is the part 1 of my series on deep reinforcement learning. Tune in next week for “Deep Reinforcement Learning with Neon” for an actual implementation with Neon deep learning toolkit.
来源:CSDN
作者:born-in-freedom
链接:https://blog.csdn.net/bornfree5511/article/details/104194323