GMM模型和EM算法

感情迁移 提交于 2020-02-06 09:02:23

1.聚类

聚类

在这里插入图片描述

最大似然估计

在这里插入图片描述

提出问题

在这里插入图片描述

混合高斯模型(简单化)

在这里插入图片描述

2.GMM模型

多项分布

在这里插入图片描述

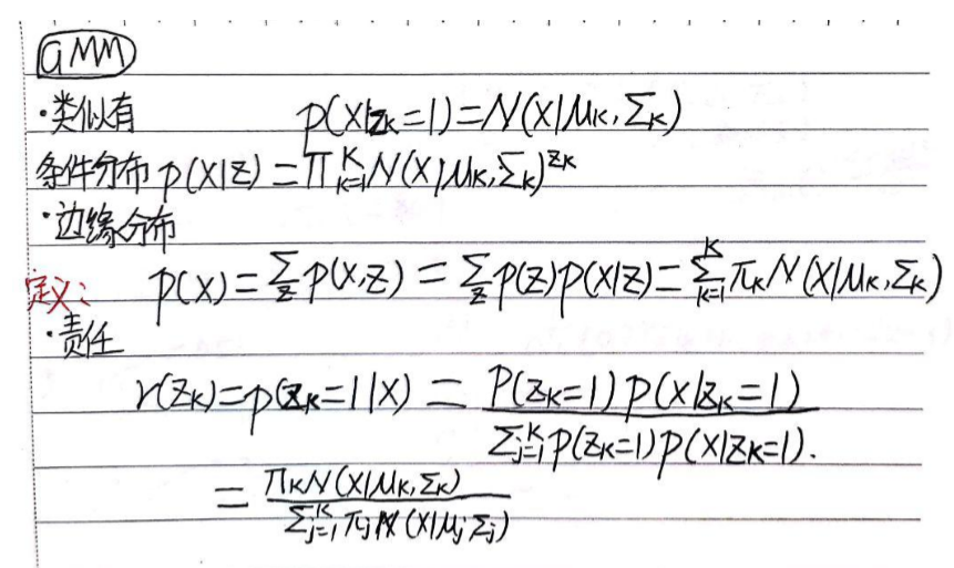
GMM

在这里插入图片描述
在这里插入图片描述

3.EM算法

GMM下的EM算法

在这里插入图片描述

数值解释

在这里插入图片描述

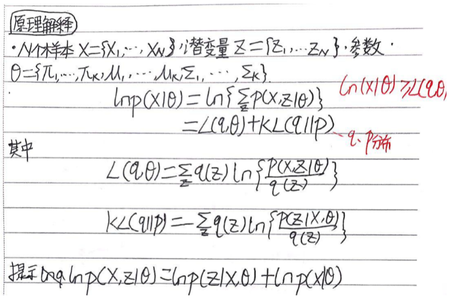
原理解释

在这里插入图片描述

KL

在这里插入图片描述

EM

在这里插入图片描述

应用于GMM

在这里插入图片描述

EM总结

在这里插入图片描述

易学教程内所有资源均来自网络或用户发布的内容,如有违反法律规定的内容欢迎反馈
该文章没有解决你所遇到的问题?点击提问,说说你的问题,让更多的人一起探讨吧!