

增量Δx 如何确定?
- 一阶和二阶梯度法
- Gauss-Newton(高斯牛顿法)
- Levenberg-Marquadt(L-M法)
Gauss-Newton(高斯牛顿法)
Gauss-Newton 的算法步骤:
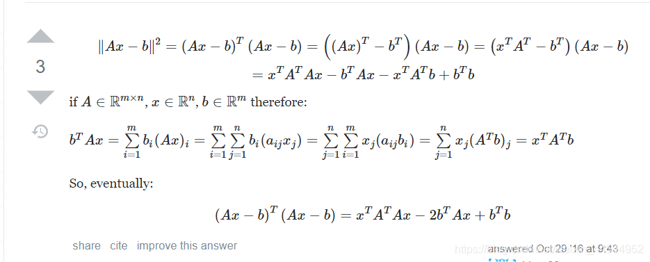
公式推导:

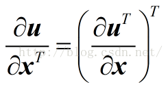
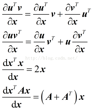
对向量和矩阵求导公式:




Levenberg-Marquadt(L-M法)
由于高斯牛顿二阶近似,只在展开点附近有较好的的效果,所以给Δx\Delta xΔx增加一个信赖区域,在区域里近似有效。
如果ρ 接近于1,则近似是好的。如果ρ太小,说明实际减小的值远少于似减小的值,则认为近似比较差,需要缩小近似范围。反之,如果ρ比较大,则说明实际下降的比预计的更大,我们可以放大近似范围。
构建一个改良版的非线性优化框架,该框架会比Gauss Newton 有更好的
效果:
来源:CSDN
作者:_YAO阿瑶
链接:https://blog.csdn.net/weixin_44694952/article/details/104188258