数学-高数(二)

╄→尐↘猪︶ㄣ 提交于 2020-02-05 02:26:14

序列的极限

序列

  • 实际上是从N到R的一个函数
  • 序列极限:

 

 

 

 

  • 几何意义

  • 放缩
  • 性质:
  1. 唯一性:极限唯一
  2. 有界性:收敛序列是有界的
  3. 保序性:两个序列ab,其函数an>bn,那么极限a>=b
  4. 子序列收敛:子序列和序列极限相同
  5. 单调有界函数必有极限

夹逼定理

 

重要极限

  • 伯努利不等式

  • 重要极限一

  • 重要极限二

 

无穷小

  • 定义

  • 性质

 

无穷大

  • 定义

  • 性质

 

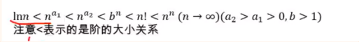
阶层比较

 

闭区间套定理

  • 定义

 

聚点原理

  • 定义

  • 性质

  • R中任何一个有界的无穷子集至少有一个聚点

任何有界序列必然存在收敛子列

标签
易学教程内所有资源均来自网络或用户发布的内容,如有违反法律规定的内容欢迎反馈
该文章没有解决你所遇到的问题?点击提问,说说你的问题,让更多的人一起探讨吧!