
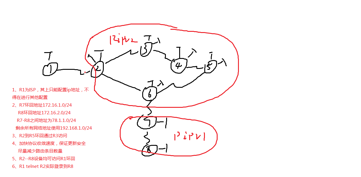
根据实验要求:尽量减少路由条目数量,所以在将172.16.1.0/24划分网段时,我将首先将R2、R3、R4、R5、R6上的两个环回看成一个网段,以便于汇总,然后将RIPv2区域的骨干网看成一个网段,那么就需要划分6段地址。
骨干: 192.168.1.0/27
R2: 192.168.1.32/27
R3: 192.168.1.64/27
R4: 192.168.1.96/27
R5: 192.168.1.128/27
R6: 192.168.1.160/27
然后细分这六段地址
骨干: 192.168.1.0/27
R2-R3:192.168.1.0/30 R3-R4:192.168.1.4/30
R4-R5:192.168.1.8/30 R5-R6:192.168.1.12/30
R2-R6:192.168.1.16/30 R6-R7:192.168.1.20/30
R2: 192.168.1.32/27
lo0:192.168.1.32/28 lo1:192.168.1.48/28
R3: 192.168.1.64/27
lo0:192.168.1.64/28 lo1:192.168.1.80/28
R4: 192.168.1.96/27
lo0:192.168.1.96/28 lo1:192.168.1.112/28
R5: 192.168.1.128/27
lo0:192.168.1.128/28 lo1:192.168.1.144/28
R6: 192.168.1.160/27
lo0:192.168.1.160/28 lo1:192.168.1.176/28
将地址配置完成后,在R2、R3、R4、R5、R6之间起RIPv2协议;在R7、R8之间起RIPv1协议
首先预测一下路由表,在R6上会有运行RIPv2的所有路由,但是不会有底下运行RIPv1的任何路由,因为RIP版本不同,同样,R7上也不会有上面RIPv2的所有路由;同时因为R7上的lo0、R8上的lo0与R7R8之间的直连路由并不是连续子网,所以R7也学不到R8的lo0,这样的话R7不能学到任何路由,路由表中只有自己的直连路由,同样,连续子网问题使得R8也学不到R7上的lo0,但是R7会将与R6的直连路由以主类路由发送给R8,这样R8上会有通过RIP学到的192.168.1.0/24的路由
验证猜测:查看R6、R7、R8的路由表
R6
R7
R8
解决问题:
解决连续子网问题,即R8收不到R7的lo0,R7收不到R8的lo0,问题的起因就是因为三段地址不是连续子网,所以在R7与R8之间配置第二地址,使得三段地址构成连续子网
R7
r7(config)#interface s1/1
r7(config-if)#ip address 172.16.3.1 255.255.255.0 secondary
R8
r8(config)#interface s1/0
r8(config-if)#ip address 172.16.3.2 255.255.255.0 secondary
R7
R8
解决R6收不到底下RIPv1的路由,R7收不到上面RIPv2的路由
问题的核心无非就是如何收发,首先是R7,是应该发RIPv1还是应该发RIPv2?RIPv1路由是不带掩码的,RIPv2路由是带掩码的,按理说R7发RIPv2好点,但是因为R7运行的是RIPv1,在RIPv1中,即使发RIPv2的路由,也不会携带掩码,所以R7发送RIPv1或者RIPv2是一样的
r7(config)#interface s1/0
r7(config-if)#ip rip send version 2
R6
同样R6应该发RIPv1还是RIPv2?RIPv1不携带掩码,RIPv2携带掩码,按理说RIPv1好点,因为发送RIPv1可以将上面的路由用一条192.168.1.0/24的主类路由发送下来,而发送RIPv2需要将很多明细路由发送下来,这样看,貌似R6发送RIPv1路由更好点,但是,如果R6选择向下发送RIPv1的路由,这里就有大问题,因为上面RIPv2环境里面的路由,有/30的路由,也有/28的路由,按理/30和/28的路由都会变为/24的路由,但是,由于/30的路由与R6/R7之间的直连路由构成了连续子网,所以上面的/30的路由会携带主机位发送下来,但是/28的路由变成192.168.1.0/24后会与/30的路由一起被连续子网变成/30的路由,所以如果R6向下发送RIPv1,那么底下RIPv1环境的路由器只会收到上面原本/30的路由加上一条192.168.1.0/30路由,上面原本/28的路由一条都收不到
R6发送RIPv1路由,R7的路由表:
导致,R7/R8根本ping不通上面原本/28的路由,只能ping通/30的路由

所以,R6还是乖乖给底下发RIPv2路由
r6(config)#interface s1/1
r6(config-if)#ip rip send version 2
r7(config)#interface s1/0
r7(config-if)#ip rip receive version 2

尽量减少路由条目
- 因为RIPv2可以接口汇总,所以在R6连接R7的接口s1/1上将上面RIPv2的地址,汇总发下去
r6(config)#interface s1/1
r6(config-if)#ip summary-address rip 192.168.1.0 255.255.255.0
- 将R2、R3、R4、R5、R6的每个连接其他路由器的接口进行环回的汇总
r2(config)#interface s1/1
r2(config-if)#ip summary-address rip 192.168.1.32 255.255.255.224
r2(config-if)#exit
r2(config)#interface f0/0
r2(config-if)#ip summary-address rip 192.168.1.32 255.255.255.224
加快协议收敛
在每台路由器上修改计时器,需运行RIP的设备均一致
r2(config)#router rip
r2(config-router)# timers basic 15 90 90 120
保证更新安全
运行RIPv2的设备间进行接口认证,推荐使用密文认证
r2(config)#key chain ccnp
r2(config-keychain)#key 1
r2(config-keychain-key)#key-string 123456
r2(config)#interface s1/1
r2(config-if)#ip rip authentication key-chain ccnp
r2(config-if)#ip rip authentication mode md5
r3(config)#key chain ccnp
r3(config-keychain)#key 1
r3(config-keychain-key)#key-string 123456
r3(config)#interface s1/0
r3(config-if)#ip rip authentication key-chain ccnp
r3(config-if)#ip rip authentication mode md5
R2到R5环回通过R3
在R2上抓取R5的环回
access 1 permit 192.168.1.128
在f0/0,即控制层面的进口将跳数增大
offset 1 in 2 f0/0
R2-R5的设备均可以访问R1的环回
R2上设置nat
access-list 2 permit 192.168.1.0 0.0.0.255
access-list 2 permit 172.16.0.0 0.0.255.255
access-list 2 permit 78.1.1.0 0.0.0.255
ip nat inside source list 2 interface Serial1/0 overload
interface s1/0
ip nat inside
interface s1/1
ip nat outside
interface f0/0
ip nat outside
R2上下放缺省亲切缺省指向ISP
default-information originate
ip route 0.0.0.0 0.0.0.0 12.1.1.1
R1 telnet R2实际登陆到R8
R8上开启telnet
r8(config)#username ccnp privilege 15 secret 123456
r8(config)#line vty 0 4
r8(config-line)#login local
R2上做端口映射
r2(config)#ip nat inside source static tcp 172.16.2.1 23 12.1.1.2 23
来源:CSDN
作者:周雄雄
链接:https://blog.csdn.net/weixin_43801718/article/details/104141426